М
Молодежь
К
Компьютеры-и-электроника
Д
Дом-и-сад
С
Стиль-и-уход-за-собой
П
Праздники-и-традиции
Т
Транспорт
П
Путешествия
С
Семейная-жизнь
Ф
Философия-и-религия
Б
Без категории
М
Мир-работы
Х
Хобби-и-рукоделие
И
Искусство-и-развлечения
В
Взаимоотношения
З
Здоровье
К
Кулинария-и-гостеприимство
Ф
Финансы-и-бизнес
П
Питомцы-и-животные
О
Образование
О
Образование-и-коммуникации
evegn1331
evegn1331
05.12.2022 05:05 •  Математика

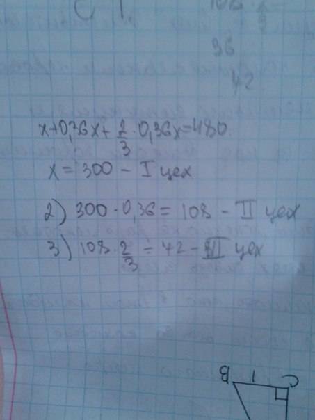
Втрех цехах фабрики работают 480 человек.число людей, работающие во втором цехе составляют 36%числа людей первого цеха, а число людей , работающих в третьем цехе , составляет 2/3 (дробь) числа людей второго цеха.сколько человек работает в каждом из этих цехов? !

👇
Ответ:
Надеюсь,что это правильное решение . :)
Втрех цехах фабрики работают 480 человек.число людей, работающие во втором цехе составляют 36%числа
4,6(46 оценок)
Открыть все ответы
Ответ:
20AKE04
20AKE04
05.12.2022

ответ: 2000, 1520

Пошаговое объяснение:

С первого участка собрали 25 мешков МОРКОВИ, а со второго 19, значит с первого собрали на 6 мешков больше.

1) 25 - 19 = 6 (мешков) МОРКОВИ собрали больше с первого участка.

С первого участка собрали на 480 кг больше, что составляет 6 мешков, значит в каждом мешке мешков было 60 кг.

2) 480 : 6 = 80 (кг) МОРКОВИ в одном мешке.

С первого участка собрали 25 мешков и каждом мешке было 80 кг, значит с первого поля собрали 2000 кг.

3) 25 * 80 = 2000 (кг) собрали с первого участка.

С первого участка собрали 19 мешков и каждом мешке было 80 кг, значит с первого поля собрали 1520 кг.

4) 19 * 80 = 1520 (кг) собрали со второго участка.

4,5(67 оценок)
Ответ:
yanaprosandeeva
yanaprosandeeva
05.12.2022
Решить без уравнения НЕРЕАЛЬНО, а объяснить можно: предположим первый спутник Х кг, тогда второй Х+424,7кг, а масса третьего Х+424,7+818,7 кг; все вместе они весят 1918,9 кг      тогда сумма трёх= Х+(Х+424,7)+(Х+424,7+818,7), то есть получаем уравнение где сумма трёх равна 1918,9
Х+(Х+424,7)+(Х+424,7+818,7)=1918,9  смело убираем скобки
Х+Х+Х+1668,1=1918,9
3Х=1918,9-1668,1
3Х=250,8
Х=83,6 кг масса первого спутника
Х+424,7=508,3 кг масса второго
Х+424,7+818,7=1327 кг масса третьего
проверяем сумму всех трёх
83,6+508,3+1327=1918,9 кг
4,7(22 оценок)
Это интересно:
Новые ответы от MOGZ: Математика
Полный доступ к MOGZ
Живи умнее Безлимитный доступ к MOGZ Оформи подписку
logo
Вход Регистрация
Что ты хочешь узнать?
Спроси Mozg
Открыть лучший ответ