М
Молодежь
К
Компьютеры-и-электроника
Д
Дом-и-сад
С
Стиль-и-уход-за-собой
П
Праздники-и-традиции
Т
Транспорт
П
Путешествия
С
Семейная-жизнь
Ф
Философия-и-религия
Б
Без категории
М
Мир-работы
Х
Хобби-и-рукоделие
И
Искусство-и-развлечения
В
Взаимоотношения
З
Здоровье
К
Кулинария-и-гостеприимство
Ф
Финансы-и-бизнес
П
Питомцы-и-животные
О
Образование
О
Образование-и-коммуникации
roman81rudi
roman81rudi
20.06.2021 07:08 •  Математика

Как найти площадь развёртки куба если известен объём 3 целых три восьмых

👇
Ответ:
жак77777
жак77777
20.06.2021
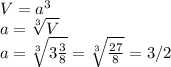
Из объема куба можно вычислить сторону куба, если только вспомнить формулу объема
V=a^3 \\ a= \sqrt[3]{V} \\ a= \sqrt[3]{3 \frac{3}{8} }= \sqrt[3]{ \frac{27}{8} }=3/2
площадь поверхности куба ищем по формуле
S=6*a^2 \\ S=6*( \frac{3}{2})^2=6* \frac{9}{4}= \frac{54}{4}=13 \frac{1}{2}
4,6(43 оценок)
Ответ:
20052281202
20052281202
20.06.2021
V=a³
S=6а²
а=∛3  3/8=1,5 см  сторона куба
S=6*1,5²=13,5 см² площадь развёртки куба
4,5(89 оценок)
Открыть все ответы
Ответ:
lehasokol03
lehasokol03
20.06.2021
Эссе на тему «Смертная казнь: за и против»

Мое мнение о смертной казни неоднозначно, и я не могу определить его одним словом.

С одной стороны, я выступаю за смертную казнь. Я понимаю, что она негуманна и жестока. И вообще, это не по-европейски.

Да, жизнь дает Бог, поэтому люди не имеют права ее отнимать. Но есть случаи, когда именно так, собственной жизнью, люди должны отвечать за свои поступки. Это происходит в том случае, когда человек сам отнимает жизни других. За жестокие убийства, в том числе детей, издевательства над беззащитными людьми, пытки нужно отвечать сполна. Или за другие изощренные преступления: например, чиновник украл деньги, предназначенные для лечения больных детей, и те не выжили.

Конечно, я при этом понимаю, что введение смертной казни вряд ли уменьшит количество преступности в нашей стране. Но если кто-то попрал саму суть человечности, он не имеет права на снисхождение.
4,7(85 оценок)
Ответ:
Aquí llegado el Año Nuevo! Estoy esperando a sus amigos este día de fiesta y nos estamos preparando diligentemente para él. Papá trajo un árbol grande y los chicos de su vestido. En la parte superior de prendas de ramas ángel adornados con guirnaldas y globos, colgaba una gran cantidad de oropel. Bajo el árbol de Navidad ponemos un Santa Claus y doncella de la nieve, y la habitación estaba decorada con todo tipo de copos de nieve, guirnaldas y serpentinas. Resultó muy bien. Los adultos han sido elogiados por nuestro esfuerzo y prometió que Santa Claus necesariamente nos llevan regalos. Nos quedamos con ganas de este momento, y cada cinco minutos, parecía bajo el árbol. Pero los regalos no son todo ... Estábamos muy triste, y mi madre, que nos distraiga, llamó a tomar el té con una torta. Luego jugamos juegos y participamos en competiciones. Fue muy divertido y nos hemos olvidado de que Papá Noel venga. Y cuando es el momento para dispersar, algunos de los chicos miraron debajo del árbol y encontró una montaña de regalos. Todo el mundo se lo quería. Todos estaban muy contentos. Aquí tuve un Año Nuevo!
4,5(14 оценок)
Это интересно:
logo
Вход Регистрация
Что ты хочешь узнать?
Спроси Mozg
Открыть лучший ответ