М
Молодежь
К
Компьютеры-и-электроника
Д
Дом-и-сад
С
Стиль-и-уход-за-собой
П
Праздники-и-традиции
Т
Транспорт
П
Путешествия
С
Семейная-жизнь
Ф
Философия-и-религия
Б
Без категории
М
Мир-работы
Х
Хобби-и-рукоделие
И
Искусство-и-развлечения
В
Взаимоотношения
З
Здоровье
К
Кулинария-и-гостеприимство
Ф
Финансы-и-бизнес
П
Питомцы-и-животные
О
Образование
О
Образование-и-коммуникации
panteleevdanil
panteleevdanil
06.12.2020 00:02 •  Математика

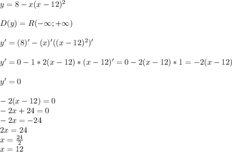
Найдите точку минимума функции y=8-x(x-12)^2 ,с подробным решением!

👇
Ответ:
andreyBublik
andreyBublik
06.12.2020
y=8-x(x-12)^{2}\\\\D(y)=R (-\infty;+\infty)\\\\y'=(8)'-(x)'((x-12)^{2})'\\\\y'=0-1*2(x-12)*(x-12)'=0-2(x-12)*1=-2(x-12) \\\\ y'=0\\\\-2(x-12)=0 \\ -2x+24=0\\-2x=-24\\2x=24\\x= \frac{24}{2}\\x=12

Я нашла только точку максимума... 
4,5(94 оценок)
Открыть все ответы
Ответ:
alena7a1
alena7a1
06.12.2020
    1) длина собаки - х, длина морской лисицы - 5х, длина морского ангела - 2х, длина колючей акулы - 0,5х.
2х - 0,5х = 1,5.
1,5х = 1,5.
х = 1 м - собака, морская лисица - 5 м , ангел - 2 м , акула - 0,5 м.
     2. 3/7 и 5/9 сравним, приведя к общему знаменателю : 27/63 меньше 35/63,
значит длиннее части 5метрового бревна.
    3. Если расстояние от города до деревни принять за х, то скорость автобуса х/6, а автомобиля х/4. автобус за 5 часов проедет расстояние 5х/6, а автомобиль за 3 часа -3х/4.
5х/6-3х/4=10х/12-9х/12=х/12, значит автобус проедет больше.
     4. Годовой запас 1 или 16/16, тогда 16/16-5/16-(5/16+1/8)=4/16=1/4 запаса осталась.
     5. пусть 1 - производственное задание, тогда 1/5 - скорость работы рабочего, 1/8 - скорость работы ученика. 1-2(1/5+1/8)=1-26/40=14/40=7/20 - оставшаяся работа.
4,7(91 оценок)
Ответ:
aleksandr17082004
aleksandr17082004
06.12.2020
1. Если профессор только один и мужского пола, то нет, так как отец сына профессора и есть профессор.
Но если профессор это она - тогда отец её сына - её муж - так что всё в порядке.
А сын отца профессора - это просто брат профессора. 

Итак - женщина - профессор. Разговаривают её брат и её муж.

2. да, если день рождения у него 31 декабря, а сказал он это 1 января, т.е. ему уже 11 лет, а 30 декабря (позавчера) было еще 10 лет, следовательно в этом году ему исполнится 12, а в следующем (31.12) уже 13 лет. 

4. (1*2)+(3*4)+(5*6)+(7*8)=2+12+30+56=100

5. 1. Мы знаем, что Миша - не Герасимов, но и Володя - не Герасимов, потому что Володя и Герасимов учатся в разных классах. Значит Герасимов - это Петя. 2. Отец Володи - инженер, а отец Иванова - учитель, значит Володя - не Иванов. Поскольку мы уже знаем, что он и не Герасимов, значит Володина фамилия Семёнов. 3. Ну а последнее самое простое, поскольку не занятыми оказались только Миша и Иванов. 
4,6(78 оценок)
Новые ответы от MOGZ: Математика
Полный доступ к MOGZ
Живи умнее Безлимитный доступ к MOGZ Оформи подписку
logo
Вход Регистрация
Что ты хочешь узнать?
Спроси Mozg
Открыть лучший ответ