М
Молодежь
К
Компьютеры-и-электроника
Д
Дом-и-сад
С
Стиль-и-уход-за-собой
П
Праздники-и-традиции
Т
Транспорт
П
Путешествия
С
Семейная-жизнь
Ф
Философия-и-религия
Б
Без категории
М
Мир-работы
Х
Хобби-и-рукоделие
И
Искусство-и-развлечения
В
Взаимоотношения
З
Здоровье
К
Кулинария-и-гостеприимство
Ф
Финансы-и-бизнес
П
Питомцы-и-животные
О
Образование
О
Образование-и-коммуникации
nastyafifefoks
nastyafifefoks
28.07.2020 08:59 •  Математика

Тригонометрическое уравнение вида sinx=a, cosx=a, tgx=a, ctgx=a

👇
Ответ:
galin56owukth
galin56owukth
28.07.2020
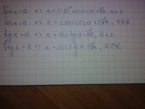
sinx=a\\a=(-1)^narcsina+ \pi n,...\\cosx=a\\a=бarccosa+2 \pi n,...\\tgx=a\\x=arctga+ \pi n,...\\ctgx=a\\x=arcctga+ \pi n,... 

Там, где многоточие стоит, там "n∈z"
4,4(53 оценок)
Ответ:
getmanchenko02
getmanchenko02
28.07.2020
ответ во вложении. Удачи!
Тригонометрическое уравнение вида sinx=a, cosx=a, tgx=a, ctgx=a
4,7(67 оценок)
Открыть все ответы
Ответ:
52681
52681
28.07.2020

В одном городе жил мальчик по имени Ларк.Он был не очень красив,не очень умён,и он хотел найти  любовь.Его родители были не оченьь богаты.Отец был кузнецом,а мама куртизанкой,и жить было тяжело.Один раз мальчика побил отец,и мальчик убежал из дома.идет он,плачет,как вдруг ему подходит не знакомый дедушка,и говорит:"Ларк!не беспокойся..Всё у тебя будет хорошо..совершай хорошие дела,и тебе всегда потом мальчик понял.И в один вечер он идет домой,и видит тонущую девушку в речке.Ларк подбежал и девочку,т.к он был искуссный плавец.Девушка была красива,и очнувшись она поцеловала своего героя,и потом они стали жить вместе,и все было у них хорошо

4,5(24 оценок)
Ответ:
Zarina2206
Zarina2206
28.07.2020

мое сегодняшнее представление по этому вопросу 
1.личность - это всегда социальная оценка,социальный аспект,определенные стереотипы и т.п. 
2. личность - это работа над инстинктами и рефлексами (т.е. это где-то то,что отличает человека от животного) 
3.Да, в моем представлении существует душа... 
что это такое? 
ох, сколько уже веков по этому вопросу дискуссии ведутся?))) 
но для меня душа - это некая энергия,на которую влияет все 
но насколько она меняется? 
лично для меня это вопрос не изменения,а управления этой энергией 

4,8(56 оценок)
Это интересно:
Новые ответы от MOGZ: Математика
logo
Вход Регистрация
Что ты хочешь узнать?
Спроси Mozg
Открыть лучший ответ