М
Молодежь
К
Компьютеры-и-электроника
Д
Дом-и-сад
С
Стиль-и-уход-за-собой
П
Праздники-и-традиции
Т
Транспорт
П
Путешествия
С
Семейная-жизнь
Ф
Философия-и-религия
Б
Без категории
М
Мир-работы
Х
Хобби-и-рукоделие
И
Искусство-и-развлечения
В
Взаимоотношения
З
Здоровье
К
Кулинария-и-гостеприимство
Ф
Финансы-и-бизнес
П
Питомцы-и-животные
О
Образование
О
Образование-и-коммуникации
Каринэль
Каринэль
27.07.2020 00:06 •  Математика

Найдите площадь фигуры ограниченной линиями y=6-6x^2 и осью абцисс

👇
Ответ:
Y=6-6x^2, y=0
К сожалению, интеграл не хотел записываться с сайта, поэтому так:
Найдите площадь фигуры ограниченной линиями y=6-6x^2 и осью абцисс
Найдите площадь фигуры ограниченной линиями y=6-6x^2 и осью абцисс
4,5(3 оценок)
Ответ:
мама1033
мама1033
27.07.2020
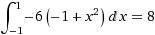
6-6x²=0
6(1-x)(1+x)=0
x=1  x=-1
s=S(от -1 до 1)(6-6x²)dx=6x-2x³)(от -1 до 1)=6-2+6-2=8кв ед
4,4(100 оценок)
Открыть все ответы
Ответ:
byrzakovskaya
byrzakovskaya
27.07.2020

Приведение к стандартному виду:  

\begin{gathered}\displaystyle 2,\!1 \cdot a^2 b^2 c^4 \cdot \bigg ( - 1\frac{3}{7} \bigg ) \cdot bc^3 d = - \bigg ( \frac{21}{10} \cdot \frac{10}{7} \bigg ) \cdot a^2 \cdot b^2b \cdot c^4c^3 \cdot d = = - \frac{21}{7} \cdot a^2 \cdot b^{2+1} \cdot c^{4+3} \cdot d = \boxed {- 3a^2 b^3c ^7d}\end{gathered}2,1⋅a2b2c4⋅(−173)⋅bc3d=−(1021⋅710)⋅a2⋅b2b⋅c4c3⋅d==−721⋅a2⋅b2+1⋅c4+3⋅d=−3a2b3c7d

Коэффициент одночлена: \boxed {-3}−3 .

Задание 2.

Формула для нахождения объема прямоугольного параллелепипеда (VV - объем; xx , yy , zz - измерения прямоугольного параллелепипеда): V=xyzV=xyz .

Значит, объем исходного параллелепипеда равен:

\begin{gathered}V = \Big (4a^2b^5 \Big ) \cdot \Big (3ab^2 \Big ) \cdot \Big (2ab \Big ) = \Big (4 \cdot 3 \cdot 2 \Big ) \cdot a^2aa \cdot b^5b^2b = = 24 \cdot a^{2+1+1} \cdot b^{5+2+1} =\boxed {24a^4b^8}\end{gathered}V=(4a2b5)⋅(3ab2)⋅(2ab)=(4⋅3⋅2)⋅a2aa⋅b5b2b==24⋅a2+1+1⋅b5+2+1=24a4b8

4,8(50 оценок)
Ответ:
Пусть  тетрадь стоит х рублей тогда блокнот х+2                                                  уравнение                                                                                                                1)5х=3*(х+2)                                                                                                                  5х-3х=6                                                                                                                    2х=6                                                                                                                             х=6:2                                                                                                                         х=3 руб стоит тетрадь                                                                                            2)3+2 =5руб  стоит блокнот                                                                                   ответ:тетрадь стоит 3 рубля а блокнот 5 рублей 
              
4,7(29 оценок)
Это интересно:
Новые ответы от MOGZ: Математика
logo
Вход Регистрация
Что ты хочешь узнать?
Спроси Mozg
Открыть лучший ответ