М
Молодежь
К
Компьютеры-и-электроника
Д
Дом-и-сад
С
Стиль-и-уход-за-собой
П
Праздники-и-традиции
Т
Транспорт
П
Путешествия
С
Семейная-жизнь
Ф
Философия-и-религия
Б
Без категории
М
Мир-работы
Х
Хобби-и-рукоделие
И
Искусство-и-развлечения
В
Взаимоотношения
З
Здоровье
К
Кулинария-и-гостеприимство
Ф
Финансы-и-бизнес
П
Питомцы-и-животные
О
Образование
О
Образование-и-коммуникации
AlenaStypak
AlenaStypak
17.10.2022 07:20 •  Математика

Интеграл почему так и каким образом это вычисляется?

👇
Ответ:
fenx73
fenx73
17.10.2022
Integral [-1;0] dx корень(1-x^2) =
{x=sin(t);dx=cos(t)dt}
... = integral [3pi/2;2pi] dt cos^2(t) =
= integral  [3pi/2;2pi] dt (cos(2t)+1)/2 =
= integral  [3pi/2;2pi] dt cos(2t)/2 + integral [3pi/2;2pi] dt 1/2 =
=  sin(2t)/4 [3pi/2;2pi] + t/2 [3pi/2;2pi]=
= 0 + pi/4 = pi/4
4,5(87 оценок)
Ответ:
quest31
quest31
17.10.2022
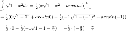
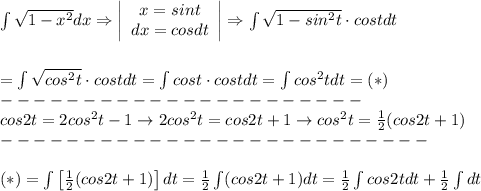
\int\sqrt{1-x^2}dx\Rightarrow \left|\begin{array}{ccc}x=sint\\dx=cosdt\end{array}\right|\Rightarrow\int\sqrt{1-sin^2t}\cdot costdt\\\\\\=\int\sqrt{cos^2t}\cdot costdt=\int cost\cdot costdt=\int cos^2tdt=(*)\\----------------------\\cos2t=2cos^2t-1\to2cos^2t=cos2t+1\to cos^2t=\frac{1}{2}(cos2t+1)\\--------------------------\\\\(*)=\int\left[\frac{1}{2}(cos2t+1)\right]dt=\frac{1}{2}\int(cos2t+1)dt=\frac{1}{2}\int cos2tdt+\frac{1}{2}\int dt

=\frac{1}{2}sin2t\cdot\frac{1}{2}+\frac{1}{2}t=\frac{1}{4}sin2t+\frac{1}{2}t=\frac{1}{4}\cdot2sintcost+\frac{1}{2}t=\frac{1}{2}sintcost+\frac{1}{2}t\\\\=\frac{1}{2}(sintcost+t)=(*)\\-----------------------------\\x=sint\Rightarrow t=arcsinx\\\\sin^2t+cos^2t=1\to cos^2t=1-sin^2t\to cost=\sqrt{1-sin^2t}\\\to cost=\sqrt{1-x^2}\\----------------------------\\\\(*)=\frac{1}{2}(x\sqrt{1-x^2}+arcsinx)

===========================================================

\int\limits_{-1}^0\sqrt{1-x^2}dx=\left\frac{1}{2}(x\sqrt{1-x^2}+arcsinx)\right]^0_{-1}\\\\=\frac{1}{2}(0\sqrt{1-0^2}+arcsin0)-\frac{1}{2}(-1\sqrt{1-(-1)^2}+arcsin(-1))\\\\=\frac{1}{2}\cdot0-\frac{1}{2}(-1\sqrt{1-1}-\frac{\pi}{2})=-\frac{1}{2}\cdot(-\frac{\pi}{2})=\frac{\pi}{4}
4,7(88 оценок)
Открыть все ответы
Ответ:
Фантастика нашего времени - чудо, к которому мы привыкли.Сложно вспомнить хотя бы один триллер или ужастик, где бы ни упоминались представители второй древнейшей профессии. Вспомним приключенческие и фантастико-приключенческие произведения, давшие путевку в жизнь такому вечнопопулярному жанру, как НФ. Жюль Верн – автор многочисленных приключенческих книг, один из первых фантастов, прародитель НФ; благодаря Верну она стала такой, какой ее знают. Верн собрал на этом клочке суши представителей самых различных профессий, людей разных возрастов и взглядов: ученого, публициста, юношу-студента… На каждого возложены строго определенные обязанности: так, ученый исследует окружающий мир и старается использовать его ресурсы во благо гостей острова. Я точно не уверена, но как есть так и есть)
4,4(9 оценок)
Ответ:
cherry1527
cherry1527
17.10.2022
Число учеников по классам соответственно равно 27, 30, 24, и 25
среднее арифметическое числа учеников в первых трех классах больше числа учеников в четвертом классе
на 8%
Решение
х -учеников в четвёртом классе
0,96х -учеников в третьем классе
0,96* 9/8х = 1,08х учеников в первом классе
1,08х+3 учеников во втором классе
х+0,96х+1,08х+1.08х+3 =106
4,12х=103
х=103/ 4,12 =25 учеников в чеивёртом классе
25*0,96 =24 ученика в третьем классе
1,08*25 = 27 учеников в первом классе
27+3 =30 учеников во втором классе
среднее арифметическое первых трёх классов ( 27+30+24)/3=27
(27-25)*100/ 25 =8% На 8%процентов среднее арифметическое числа учеников в первых трех классах больше числа учеников в четвертом классе???
4,6(63 оценок)
Это интересно:
Новые ответы от MOGZ: Математика
logo
Вход Регистрация
Что ты хочешь узнать?
Спроси Mozg
Открыть лучший ответ