М
Молодежь
К
Компьютеры-и-электроника
Д
Дом-и-сад
С
Стиль-и-уход-за-собой
П
Праздники-и-традиции
Т
Транспорт
П
Путешествия
С
Семейная-жизнь
Ф
Философия-и-религия
Б
Без категории
М
Мир-работы
Х
Хобби-и-рукоделие
И
Искусство-и-развлечения
В
Взаимоотношения
З
Здоровье
К
Кулинария-и-гостеприимство
Ф
Финансы-и-бизнес
П
Питомцы-и-животные
О
Образование
О
Образование-и-коммуникации
CareyMahoney
CareyMahoney
14.03.2021 02:41 •  Математика

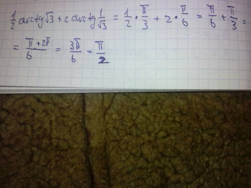
1/2arctg√3+2arcctg1/√3. решить нужно или меня могут отчислить

👇
Ответ:
ответ смотри во вложении
1/2arctg√3+2arcctg1/√3. решить нужно или меня могут отчислить
4,8(74 оценок)
Открыть все ответы
Ответ:
nastgoliakova
nastgoliakova
14.03.2021
Человек может войти в любую неприятную ситуацию, но так же может и выйти из нее. У меня есть один случай на примере: " Один мужчина, когда-то, застрял в лифте, он пытался открыть дверь,
кричал, просил о но никто не слышал, а другие безрозличные люди, просто не обращали внимание. Он никак не мог выбратся, так как,аварийная кнопка в лифте не работала, а телефона у него не было. Но вдруг мужчина вспомнил, чего папа его учил: нужно чуть-чуть раздвинуть дверь лифта и вставить что-нибудь в это отверствие (например спичечную коробку) и дальше пытатся раздвинуть проход. Таким методрм молодой человек выбрался из очень неприятной ситуации.
Как говорят: " Выход найти можно из любой ситуации, даже если это кажется не возможным!".
4,5(72 оценок)
Ответ:
лехаleha
лехаleha
14.03.2021
17\12 время велосипедиста до пункта B это будет 17\12 умножить на 60=равно 85 минут или 1 час 25 минут-время велосипедиста в одну сторону.
за это время пешеход км. от всего расстояния отнимаем расстояние пройденное пешеходом 17-85\12=119\12 пути осталось. это расстояние они навстречу друг другу.поэтому их скорости складываем.12=5 =17 км в час .теперь оставшееся расстояние делим на их общую скорость 119\12:17=7\12часа шли они навстречу это будет 35 минут теперь время велосипедиста и их общее время складываем1 час 25 минут +35 минут = 2 часа
4,7(16 оценок)
Это интересно:
Новые ответы от MOGZ: Математика
logo
Вход Регистрация
Что ты хочешь узнать?
Спроси Mozg
Открыть лучший ответ