М
Молодежь
К
Компьютеры-и-электроника
Д
Дом-и-сад
С
Стиль-и-уход-за-собой
П
Праздники-и-традиции
Т
Транспорт
П
Путешествия
С
Семейная-жизнь
Ф
Философия-и-религия
Б
Без категории
М
Мир-работы
Х
Хобби-и-рукоделие
И
Искусство-и-развлечения
В
Взаимоотношения
З
Здоровье
К
Кулинария-и-гостеприимство
Ф
Финансы-и-бизнес
П
Питомцы-и-животные
О
Образование
О
Образование-и-коммуникации
Raf4ik15
Raf4ik15
16.11.2020 13:52 •  Математика

2/3m+1/4a-1/4m+1/2a-7 решить ! задали на каникулы а сама решить не могу вообще не

👇
Ответ:
MrLegolas
MrLegolas
16.11.2020
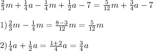
\frac{2}{3}m+ \frac{1}{4}a- \frac{1}{4}m+ \frac{1}{2}a-7=\frac{5}{12}m+\frac{3}{4}a -7 \\ \\ 1) \frac{2}{3}m- \frac{1}{4}m= \frac{8-3}{12}m = \frac{5}{12}m \\ \\ 2)\frac{1}{4}a+ \frac{1}{2}a= \frac{1+2}{4}a= \frac{3}{4}a
4,7(83 оценок)
Открыть все ответы
Ответ:
Stas111111112
Stas111111112
16.11.2020

106 конфет

Пошаговое объяснение:

Посчитаем последовательно количество конфет, которых взял Коля:

1+3=4+5=9+7=16+9=25+11=36+13=49

В силу тот факт, что Коля взял всего 50 конфет, то он не мог сделать следующий шаг. В противном случае у него был бы 49+15=64 конфет.

Так как Коля взял в последнем шаге 13 конфет, то после него Оля в последнем своем шаге взяла 14 конфет и остался 1 конфета. Теперь посчитаем последовательно количество конфет, которых взяла Оля:

2+4=6+6=12+8=20+10=30+12=42+14=56.

Значит, изначально в пакете было

50+56=106 конфет.

4,7(49 оценок)
Ответ:
никусь2222
никусь2222
16.11.2020

106 конфет

Пошаговое объяснение:

Посчитаем последовательно количество конфет, которых взял Коля:

1+3=4+5=9+7=16+9=25+11=36+13=49

В силу тот факт, что Коля взял всего 50 конфет, то он не мог сделать следующий шаг. В противном случае у него был бы 49+15=64 конфет.

Так как Коля взял в последнем шаге 13 конфет, то после него Оля в последнем своем шаге взяла 14 конфет и остался 1 конфета. Теперь посчитаем последовательно количество конфет, которых взяла Оля:

2+4=6+6=12+8=20+10=30+12=42+14=56.

Значит, изначально в пакете было

50+56=106 конфет.

4,7(64 оценок)
Новые ответы от MOGZ: Математика
logo
Вход Регистрация
Что ты хочешь узнать?
Спроси Mozg
Открыть лучший ответ