М
Молодежь
К
Компьютеры-и-электроника
Д
Дом-и-сад
С
Стиль-и-уход-за-собой
П
Праздники-и-традиции
Т
Транспорт
П
Путешествия
С
Семейная-жизнь
Ф
Философия-и-религия
Б
Без категории
М
Мир-работы
Х
Хобби-и-рукоделие
И
Искусство-и-развлечения
В
Взаимоотношения
З
Здоровье
К
Кулинария-и-гостеприимство
Ф
Финансы-и-бизнес
П
Питомцы-и-животные
О
Образование
О
Образование-и-коммуникации
ramazan2001xxx
ramazan2001xxx
15.03.2023 21:51 •  Математика

4. найти наименьшее и наибольшее значение функции см. фото на отрезке [-1; 1]

👇
Ответ:
lizniki82
lizniki82
15.03.2023

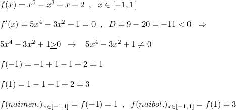
f(x)=x^5-x^3+x+2\; \; ,\; \; x\in [-1,1\, ]\\\\f'(x)=5x^4-3x^2+1=0\; \; ,\; \; D=9-20=-11<0\; \; \Rightarrow \\\\5x^4-3x^2+1\underline {\underline {}}0\; \; \to \; \; \; 5x^4-3x^2+1\ne 0\\\\f(-1)=-1+1-1+2=1\\\\f(1)=1-1+1+2=3\\\\f(naimen.)_{x\in [-1,1]}=f(-1)=1\; \; ,\; \; f(naibol.)_{x\in [-1,1]}=f(1)=3

4,7(84 оценок)
Ответ:
quest31
quest31
15.03.2023

Наименьшее значение функции будет в точке -1

подставляем в правую часть -1 вместо x

f(-1) = -1^5-1^3-1+2 = 1

Наибольшее значение будет в точке 1

подставляем в правую часть 1 вместо x

f(1) = 1^5-1^3+1+2 = 3

ответ наименьшее = 1

наибольшее = 3

Пошаговое объяснение:

4,4(88 оценок)
Открыть все ответы
Ответ:
ksu010157sha
ksu010157sha
15.03.2023

Расстояние между сёлами 3600 м. Из одно-и-того-же сёла выехали автобус и автомобиль, при этом автомобиль ехал впереди. Найдите скорость автобуса если, автомобиль преодолел это расстояние за 50 мин, что на 30 мин меньше чем проехал автобус.

1)50+30=80 (мин.)-время автобуса

2)3600: 80=45 (м/мин)-скорость автобуса

ответ:45 м/мин.

Расстояние между городами 12312 м. Из этих городов в одном направлении выехали 2 автобуса. Первый автобус ехал впереди. Скорость первого автобуса 456 м/мин, а скорость второго на 190 м/мин больше чем у первого. На сколько дольше время 2 автобуса ?

1)456+190=646 (м/мин)-скорость второго автобуса

2)12312:456=27 (мин)-время 1 автобуса

3)12312:646=19мин 38 сек-время 2 автобуса

4)27мин 00 сек-19 мин 38 сек=7 мин 32 сек-разница

ответ : 7 мин 32 сек.

4,5(93 оценок)
Ответ:
olesyamolyanova
olesyamolyanova
15.03.2023
1. Понятно, что треугольники A1B1C1 и ABC подобны (стороны параллельны -> углы равны); и даже действительно с гомотетии можно получить из одного другое
2. M - точка пересечения медиан в треугольнике A1B1C1.
3. Медианы делятся точкой пересечения в отношении 2:1, считая от вершины.

Выразим длину медианы m в маленьком треугольнике через медиану большого треугольника M (на примере АА1):
A1M = M/3 = 2m/3, 
откуда m = 1/2 M.

Принимая во внимание, что коэф. гомотетии в данном случае отрицательный, ответ 
-1/2
Это оно?
4,4(35 оценок)
Новые ответы от MOGZ: Математика
logo
Вход Регистрация
Что ты хочешь узнать?
Спроси Mozg
Открыть лучший ответ