М
Молодежь
К
Компьютеры-и-электроника
Д
Дом-и-сад
С
Стиль-и-уход-за-собой
П
Праздники-и-традиции
Т
Транспорт
П
Путешествия
С
Семейная-жизнь
Ф
Философия-и-религия
Б
Без категории
М
Мир-работы
Х
Хобби-и-рукоделие
И
Искусство-и-развлечения
В
Взаимоотношения
З
Здоровье
К
Кулинария-и-гостеприимство
Ф
Финансы-и-бизнес
П
Питомцы-и-животные
О
Образование
О
Образование-и-коммуникации
LeXonG
LeXonG
24.07.2022 10:24 •  Математика

№1 2 sinx-√2=0 №2 cos = - №3 tg x=√3 №4 3ctgx= -1 №5 2 - sinx+1=0 №6 x +ctg=0 №7 решить неравенство sinx ≤ - по 1 окружности

👇
Ответ:
№1
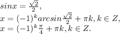
2 sinx-√2=0 ⇒   sinx= \frac{ \sqrt{2} }{2}, \\ x=(-1) ^{k}arcsin \frac{ \sqrt{2} }{2}+ \pi k,k\in Z, \\ x=(-1) ^{k}\frac{ \pi } {4}+ \pi k,k\in Z.
№2
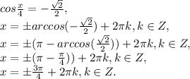
cos \frac{x}{4}=- \frac{ \sqrt{2} }{2} , \\ x=\pm arccos(- \frac{ \sqrt{2} }{2})+2 \pi k,k\in Z, \\x=\pm ( \pi -arccos( \frac{ \sqrt{2} }{2}))+2 \pi k,k\in Z, \\x=\pm ( \pi - \frac{ \pi }{4}))+2 \pi k,k\in Z, \\x=\pm \frac{3 \pi }{4}+2 \pi k,k\in Z.
№3
tg x=√3
x=arctg \sqrt{3}+ \pi k,k\in Z, \\ x= \frac{ \pi }{3} + \pi k,k\in Z.
№4
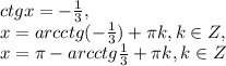
3ctgx= -1 ,
ctgx=- \frac{1}{3}, \\ x=arcctg(-\frac{1}{3})+ \pi k,k\in Z, \\ x= \pi -arcctg\frac{1}{3}+ \pi k,k\in Z
№5
2cos²x - sinx+1=0
cos²x=1-sin²x
2(1-sin²x)-sinx+1=0
2-2sin²x-sinx+1=0
2sin²x+sinx-3=0
D=1-4·2·(-3)=1+24=25=5²
sinx=(-1-5)/4=-3/2- уравнение не             или    sinx =(-1+5)/4=1
имеет решений, синус не принимает                х=π/2 + 2πk, k ∈ Z.
значений больших 1 и меньших -1
№6
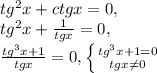
tg ^{2}x+ctgx=0, \\ tg ^{2}x+ \frac{1}{tgx} =0, \\ \frac{tg ^{3}x+1 }{tgx}=0, \left \{ {{tg ^{3}x +1=0} \atop {tgx \neq 0}} \right.
tgx=-1
x=arctg(-1)+πk, k ∈Z
x=-π/4 + πk, k∈Z
№7 Решить неравенство
sinx ≤ -1/2
- \frac{ \pi }{6}+2 \pi k \leq x \leq \pi + \frac{ \pi }{6}+2 \pi k,k\in Z
(cм. рисунок)


№1 2 sinx-√2=0 №2 cos = - №3 tg x=√3 №4 3ctgx= -1 №5 2 - sinx+1=0 №6 x +ctg=0 №7 решить неравенство
4,4(67 оценок)
Открыть все ответы
Ответ:
nushales
nushales
24.07.2022

а)19 голов и 46 ног.

У кур 2 ноги, у овцы 4 ноги, вместе 6 ног.

46:6=7 + 4 ноги (пусть будет овца).

Итого: 7 кур + 8 овец (7*2 + 8*4 = 46 ног, однако 15 голов - маловато)

Заменяем одну овцу на двух кур, количество голов возрастает на 1, значит надо провести 4 обмена, получаем:

Итого: 15 кур + 4 овцы (15*2+4*4 = 46 ног, 15 + 4 = 19 голов)

46:2 = 23

23 - 19 = 4

19 - 4 = 15

б) 30 голов и 74 ноги

74:6=12 + 2 ноги (пусть будет курица)

Итого: 13 кур + 12 овец (13*2 + 12*4 = 74 ноги, однако 25 голов - маловато).

Проводим 5 обменов.

Итого: 23 куры и 7 овец (23*2+7*4 = 74 ноги, 23 + 7 = 30 голов)

4,6(14 оценок)
Ответ:
Toma06000
Toma06000
24.07.2022

а)19 голов и 46 ног.

У кур 2 ноги, у овцы 4 ноги, вместе 6 ног.

46:6=7 + 4 ноги (пусть будет овца).

Итого: 7 кур + 8 овец (7*2 + 8*4 = 46 ног, однако 15 голов - маловато)

Заменяем одну овцу на двух кур, количество голов возрастает на 1, значит надо провести 4 обмена, получаем:

Итого: 15 кур + 4 овцы (15*2+4*4 = 46 ног, 15 + 4 = 19 голов)

46:2 = 23

23 - 19 = 4

19 - 4 = 15

б) 30 голов и 74 ноги

74:6=12 + 2 ноги (пусть будет курица)

Итого: 13 кур + 12 овец (13*2 + 12*4 = 74 ноги, однако 25 голов - маловато).

Проводим 5 обменов.

Итого: 23 куры и 7 овец (23*2+7*4 = 74 ноги, 23 + 7 = 30 голов)

4,8(20 оценок)
Это интересно:
Новые ответы от MOGZ: Математика
logo
Вход Регистрация
Что ты хочешь узнать?
Спроси Mozg
Открыть лучший ответ