М
Молодежь
К
Компьютеры-и-электроника
Д
Дом-и-сад
С
Стиль-и-уход-за-собой
П
Праздники-и-традиции
Т
Транспорт
П
Путешествия
С
Семейная-жизнь
Ф
Философия-и-религия
Б
Без категории
М
Мир-работы
Х
Хобби-и-рукоделие
И
Искусство-и-развлечения
В
Взаимоотношения
З
Здоровье
К
Кулинария-и-гостеприимство
Ф
Финансы-и-бизнес
П
Питомцы-и-животные
О
Образование
О
Образование-и-коммуникации
DenisРоссия
DenisРоссия
16.09.2021 01:12 •  Математика

Обозначьте смежные углы , в которых находятся в отношении. только найдите это углы. 1) 1: 2 2)5: 4 3)8: 7 4)5: 7 5)1: 5 6)3: 7

👇
Ответ:
elvirabondar2
elvirabondar2
16.09.2021
1)
1+2=3 \\ 180:3=60
60*1=60°
60*2=120°

2)
5+4=9 \\ 180:9=20
20*5=100°
20*4=80°

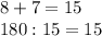
3)
8+7=15 \\ 180:15=15
12*8=96°
12*7=84°

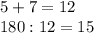
4)
5+7=12 \\ 180:12=15
15*5=75°
15*7=105°

5)
1+5=6 \\ 180:6=30
30*1=30°
30*5=150°

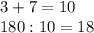
6)
3+7=10 \\ 180:10=18
18*3=54°
18*7=126°
4,6(14 оценок)
Открыть все ответы
Ответ:
Ismashoma
Ismashoma
16.09.2021
Неба Колумбии цвет перламутрово-синий, Синей и красивей, чем небо апрельской Москвы, Но Вы почему-то спешили вернуться в Россию, Просили повинной с плеча не рубить головы... Увы, я теперь не сумею ответить Вам точно, Которою ночью она перестала Вас ждать - Не мать, не жена, капитанская гордая дочка Забыла - и точка, и незачем ей вспоминать. Ломать будет легче, чем выдержать скуку ремонта, Какого же чёрта Вам было врываться в апрель? У неба теперь перламутрово-синяя кромка, И птицы негромко заводят весеннюю трель.
4,8(100 оценок)
Ответ:
KostyaBit
KostyaBit
16.09.2021


пусть фиксированная комиссия составляет х рублей, тогда нефиксированная комиссия в первом случае составляет 49,5-х, а во втором 72,9-х, а так как в процентном соотношении нефиксированная комиссия и в первом и во втором случае одинаковая, то составляем уравнение:

(49,5-х)/5000 = (72,9-х)/8000

396000 - 8000х = 364500 - 5000х

3000х=31500

х=10,5

Значит размер фиксированной комиссии составляет 10,5 рублей. Теперь узнаем размер нефиксированной комиссии. Рассмотрим первый случай:

 (49,5-10,5)/5000 = 0,0078

т.е. кроме фиксированной комиссии, берется еще плата в размере 0,0078 от суммы. Значит с 9500 рублей клиент заплатит комиссию:

9500*0,0078 +10,5 =74,1+10,5=84,6 рублей

ответ: 84,6 рублей


4,6(80 оценок)
Это интересно:
Новые ответы от MOGZ: Математика
logo
Вход Регистрация
Что ты хочешь узнать?
Спроси Mozg
Открыть лучший ответ