М
Молодежь
К
Компьютеры-и-электроника
Д
Дом-и-сад
С
Стиль-и-уход-за-собой
П
Праздники-и-традиции
Т
Транспорт
П
Путешествия
С
Семейная-жизнь
Ф
Философия-и-религия
Б
Без категории
М
Мир-работы
Х
Хобби-и-рукоделие
И
Искусство-и-развлечения
В
Взаимоотношения
З
Здоровье
К
Кулинария-и-гостеприимство
Ф
Финансы-и-бизнес
П
Питомцы-и-животные
О
Образование
О
Образование-и-коммуникации
natnet1
natnet1
23.01.2020 12:50 •  Математика

Ыберите уравнения, решениями которых является число 49. 1) 56 + 67 - (34 + х) = 73, 2) 38 + (98 - ( 45 +х))= 42, 3) 78 - ( х -84) - 92= 13, 4) 45 +( 97 - ( х +28)) =65

👇
Ответ:
Leiona
Leiona
23.01.2020
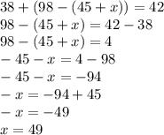
1)
56 + 67 - (34 + x) = 73 \\ -34-x=73-56-67 \\ -34-x=-50 \\ -x=-50+34 \\ -x=-16 \\ x=16

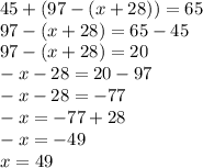
2)
38 + (98 - ( 45 +x))= 42 \\ 98-(45+x)=42-38 \\ 98-(45+x)=4 \\ -45-x=4-98 \\ -45-x=-94 \\ -x=-94+45 \\ -x=-49 \\ x=49

3)
78 - ( x -84) - 92= 13 \\ -x+84=13+92-78 \\ -x+84=27 \\ -x=27-84 \\ -x=-57 \\ x=57

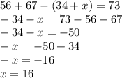
4)
45 +( 97 - (x +28)) =65 \\ 97-(x+28)=65-45 \\ 97-(x+28)=20 \\ -x-28=20-97 \\ -x-28=-77 \\ -x=-77+28 \\ -x=-49 \\ x=49

ответ: корнем 2 и 4 уравнений является число 49.
4,4(35 оценок)
Открыть все ответы
Ответ:
n4rut016
n4rut016
23.01.2020
1.В одной бочке 10 литров воды, а во второй 8 литров воды. Сколько литров воды в обеих бочках? 10+8=18 литров в обеих бочках
2.Из одной бочки в другую вылили 8 литров воды, сколько литров воды осталось если было в ней 10 литров воды. 10-8=2 литра осталось
3.В одной бочке 10 литров воды, в во второй 8 литров воды. На сколько больше воды в 1 бочке, чем во второй 10-8=2 на столько меньше.
4. В одной бочке 10 литров воды, а во второй 8 литров воды. На сколько меньше воды во второй бочке? 10-8=2 на столько меньше
4,8(36 оценок)
Ответ:
Kinder2571
Kinder2571
23.01.2020
1)Да. Четыри прямых, две из которых проходят через диагонали квадрата, а другие две через середины противоположных сторон. Ето легко показать если взять квадратный лист бумаги и сложить пополам и розложыть - тогда линия сгина и будет частю (сгин конечен, а прямая - нет) оси симетрии. А таких разных складываний есть 4.
2)Нет. Треугол. бывают с прямым углом - прямоуголные. есть такая теорема:сума углов треугольника равна 180 гр., а так как 90 менше 180, то на остальные 2 угла остается еще 90 гр. то есть существуют треугольники с углом 90гр.
3)Да. Пускай m:n=m*(1/n) операцию деления поменяем умножением. Уменшим делимое и повтори замену операций (m:2):n=(m*1/2)*1/n=. А теперь скобки можна опустить так как неважно в каком порядке перемножать - результат тот же. =m*1/n*1/2, а m*1/n есть частное которое умн. на 1/2 и будет в два раза менше.
Например: 12:3=4.    12:2:3=2
4)Нет. Пускай сторона квадрата 2а, тогда его площа S=(2a)^2=4a^2. Уменшим сторону в двое- получим квадрат с стороной а и площей S1=a^2 и видим что его площа в 4 раза менше, а не в два.
4,4(86 оценок)
Новые ответы от MOGZ: Математика
logo
Вход Регистрация
Что ты хочешь узнать?
Спроси Mozg
Открыть лучший ответ