М
Молодежь
К
Компьютеры-и-электроника
Д
Дом-и-сад
С
Стиль-и-уход-за-собой
П
Праздники-и-традиции
Т
Транспорт
П
Путешествия
С
Семейная-жизнь
Ф
Философия-и-религия
Б
Без категории
М
Мир-работы
Х
Хобби-и-рукоделие
И
Искусство-и-развлечения
В
Взаимоотношения
З
Здоровье
К
Кулинария-и-гостеприимство
Ф
Финансы-и-бизнес
П
Питомцы-и-животные
О
Образование
О
Образование-и-коммуникации
умница633
умница633
02.08.2021 16:52 •  Математика

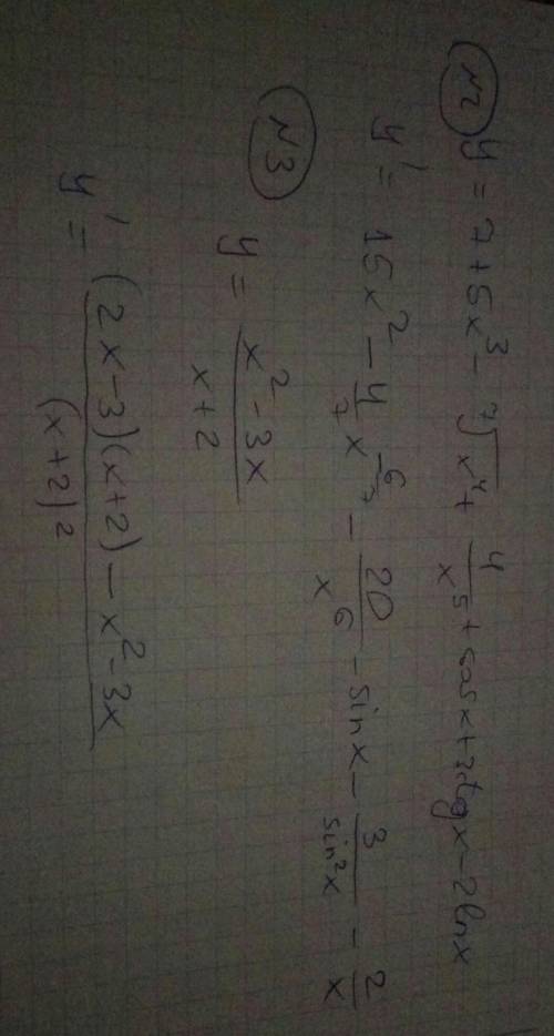
На фотографии . найти производную функций:

👇
Ответ:
genatbukin
genatbukin
02.08.2021

во вложении

Пошаговое объяснение:

во вложении


На фотографии . найти производную функций:
На фотографии . найти производную функций:
На фотографии . найти производную функций:
4,7(33 оценок)
Открыть все ответы
Ответ:
novakelizaveta71
novakelizaveta71
02.08.2021

Старинная русская мера массы пуд равна 16,38 кг. Округлите это значение до целых,до десятых. Старинная русская мера длины верста равна 1067м.Округлите это значение до десятков,до сотен.Старинная русская мера длины сажень равна 2,13м. Округлите это значение до целых ,до метров

Решение

(до целых) пуд равен 16,38 кг = 16 кг

(до десятых) пуд равен 16,38 кг = 16,4 кг

(до десятков) длина версты равна 1067м = 1070 м

(до сотен) длина версты равна 1067м = 1100 м

(до целых) длина сажени равна 2,13м = 2м

(до метров) длина сажени равна 2,13м = 2м

4,4(62 оценок)
Ответ:
arinastl
arinastl
02.08.2021
3ч 9мин*6-8мин 7с*7= 17ч 57мин 11с
1) 3ч 9мин*6=18ч 54 мин
2) 8мин 7с*7=56мин 49 сек
3) 18ч 54 мин-56 мин 49с=17 ч 114мин - 56мин 49с=17ч 113мин 60сек-56мин 49с=17ч 57мин 11с

(8т 4ц 24кг+10кг 506г)*64= 537т 28ц 8кг 380г
1) 8т 4ц 24 кг+10кг 506г=8т 4ц 34кг 506г
2) 8т 4ц 34кг 506г*64=8т*64+4ц*64+34кг*64+506г*64=512т +256ц +2176кг +32384г= 512т+25т 6ц+21ц 76кг+32кг 380г=537т 27ц 108кг 380г=537т 28ц 8кг 380г
32384г=32 кг 380 г
2176кг =21ц 76кг
256ц =25т 6ц
108кг=1ц 8кг

8км 35м*52-360км 72м:18=397км 816м
1) 8км 35м*52=416 км 1820м=417км 820м
2) 360км 72м:18=20км 4м
3) 417км 820м-20км 4м=397км 816м
4,4(30 оценок)
Это интересно:
Новые ответы от MOGZ: Математика
logo
Вход Регистрация
Что ты хочешь узнать?
Спроси Mozg
Открыть лучший ответ