М
Молодежь
К
Компьютеры-и-электроника
Д
Дом-и-сад
С
Стиль-и-уход-за-собой
П
Праздники-и-традиции
Т
Транспорт
П
Путешествия
С
Семейная-жизнь
Ф
Философия-и-религия
Б
Без категории
М
Мир-работы
Х
Хобби-и-рукоделие
И
Искусство-и-развлечения
В
Взаимоотношения
З
Здоровье
К
Кулинария-и-гостеприимство
Ф
Финансы-и-бизнес
П
Питомцы-и-животные
О
Образование
О
Образование-и-коммуникации
Nozzer4K
Nozzer4K
18.01.2020 12:24 •  Математика

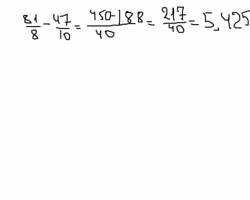
Найдите значение выражения 8 1/8 - 4 7/10

👇
Ответ:
pustayai
pustayai
18.01.2020
.................................
Найдите значение выражения 8 1/8 - 4 7/10
4,7(2 оценок)
Открыть все ответы
Ответ:
danilpus2016
danilpus2016
18.01.2020

Наибольший общий делитель НОД (1800; 3780) = 180

Наименьшее общее кратное НОК (1800; 3780) = 37800

Пошаговое объяснение:

Наибольший общий делитель:

Разложим числа на простые множители и подчеркнем общие множители чисел:

1800 = 2 · 2 · 2 · 3 · 3 · 5 · 5

3780 = 2 · 2 · 3 · 3 · 3 · 5 · 7

Общие множители чисел: 2; 2; 3; 3; 5

Чтобы найти НОД чисел, необходимо перемножить их общие множители:

НОД (1800; 3780) = 2 · 2 · 3 · 3 · 5 = 180

Наименьшее общее кратное:

Разложим числа на простые множители. Сначала запишем разложение на множители самого большого число, затем меньшее число. Подчеркнем в разложении меньшего числа множители, которые не вошли в разложение наибольшего числа.

3780 = 2 · 2 · 3 · 3 · 3 · 5 · 7

1800 = 2 · 2 · 2 · 3 · 3 · 5 · 5

Чтобы определить НОК, необходимо недостающие множители (эти множители подчеркнуты) добавить к множителям большего числа и перемножить их:

НОК (1800; 3780) = 2 · 2 · 3 · 3 · 3 · 5 · 7 · 2 · 5 = 37800.

4,8(67 оценок)
Ответ:
kontik20033002
kontik20033002
18.01.2020

Пошаговое объяснение:

Число делится на 15, если оно одновременно делится на 3 и 5.

Число делится на 3, если сумма его цифр делится на 3.

Число делится на 5, если оно оканчивается цифрой 0 или 5.

Итак, наименьшее натуральное число, которое делится на 3 и 5 одновременно это 15.

Получаем:

Второе натуральное число: 15+15=30

Третье натуральное число: 30+15=45

Четвёртое натуральное число: 45+15=60

Пятое натуральное число: 60+15=75

Ищем число, которое делится на 15 и стоит на 40-ом месте:

15*40=600 - число, которое делится на 15 и стоит на 40-ом месте.

4,5(1 оценок)
Новые ответы от MOGZ: Математика
logo
Вход Регистрация
Что ты хочешь узнать?
Спроси Mozg
Открыть лучший ответ