М
Молодежь
К
Компьютеры-и-электроника
Д
Дом-и-сад
С
Стиль-и-уход-за-собой
П
Праздники-и-традиции
Т
Транспорт
П
Путешествия
С
Семейная-жизнь
Ф
Философия-и-религия
Б
Без категории
М
Мир-работы
Х
Хобби-и-рукоделие
И
Искусство-и-развлечения
В
Взаимоотношения
З
Здоровье
К
Кулинария-и-гостеприимство
Ф
Финансы-и-бизнес
П
Питомцы-и-животные
О
Образование
О
Образование-и-коммуникации
9109160145davla
9109160145davla
17.09.2020 18:27 •  Математика

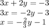
Вырази из уравнения неизвестное х 3х+2у=-3

👇
Ответ:
fooox30
fooox30
17.09.2020
3x+2y=-3\\3x=-2y-3\\x=- \frac{2}{3}y-1
4,4(41 оценок)
Ответ:
CandyBitch666
CandyBitch666
17.09.2020
Смотри.................................
Вырази из уравнения неизвестное х 3х+2у=-3
4,4(92 оценок)
Открыть все ответы
Ответ:
Mary2304Cat
Mary2304Cat
17.09.2020

Решение решения: Пусть х км – расстояние от фермы до магазина. Тогда при езде со скоростью 30 км/ч на этот путь будет потрачено  часов, а при езде со скорость 20 км/ч -  часов. Получаем уравнение: . Откуда х=120 км. При езде со скоростью 30 км/ч на этот путь будет потрачено 120:30=4 часа, т.е на путь с искомой скоростью нужно потратить 4+1=5 часов. Скорость при этом должна быть 120:5= 24 км/ч.

решения: При скорости 30 км/ч машина будет проходить каждый километр за 2 минуты, а при скорости 20 км/ч – каждый километр за 3 минуты. Значит при скорости 20 км/ч машина будет терять одну минуту на каждом километре. Но при этой скорости она теряет, как сказано, 2 часа, или 120 минут. Значит, расстояние от фермы до магазина 120 км.

4,6(32 оценок)
Ответ:
Действия людей, которые в пути не заметили приближения пурги: — Собраться всем вместе, прекратить движение, снять лыжи. Если вблизи есть большой камень или груда камней, можно уйти под их защиту. — Соорудить из лыж проти во ветровой щит, воткнув их в снег в один ряд и образовав почти сплошную стенку. При этом лыжи следует ставить слегка наклонно. Вместо щита из лыж можно построить ветрозащитную стенку из снежных кирпичей. — Надеть на себя все теплое. Переодевающихся следует прикрывать им, обогревать руки. — После устройства противоветрового щита приступают к установке палатки или к сооружению укрытия из подручного материала. — При разбивке бивака во время пурги не следует отходить от палатки или укрытия. В случае крайней необходимости необходимо страховаться веревкой. Если отошли без страховки и потеряли укрытие из виду, попытайтесь вернуться по своему следу. Потеряв его, остановитесь и оглядитесь: в разрывах поземки можно увидеть товарищей и укрытие. Не теряйте самообладания и не мечитесь, иначе можно запутать следы и удалиться от бивака.
4,6(57 оценок)
Это интересно:
logo
Вход Регистрация
Что ты хочешь узнать?
Спроси Mozg
Открыть лучший ответ