М
Молодежь
К
Компьютеры-и-электроника
Д
Дом-и-сад
С
Стиль-и-уход-за-собой
П
Праздники-и-традиции
Т
Транспорт
П
Путешествия
С
Семейная-жизнь
Ф
Философия-и-религия
Б
Без категории
М
Мир-работы
Х
Хобби-и-рукоделие
И
Искусство-и-развлечения
В
Взаимоотношения
З
Здоровье
К
Кулинария-и-гостеприимство
Ф
Финансы-и-бизнес
П
Питомцы-и-животные
О
Образование
О
Образование-и-коммуникации
fasthelp1
fasthelp1
09.03.2020 22:52 •  Математика

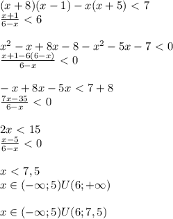
Знайдіть множину розв'язків системи нерівностей: {(х+8)(х-1)-х(х+5)< 7 х+1/6(дробом)-х< 6

👇
Ответ:
dashkaborisova
dashkaborisova
09.03.2020
(x+8)(x-1)-x(x+5)\ \textless \ 7\\ \frac{x+1}{6-x}\ \textless \ 6&#10;\\ \\&#10;x^2-x+8x-8-x^2-5x-7\ \textless \ 0\\&#10; \frac{x+1-6(6-x)}{6-x}\ \textless \ 0 \\ \\&#10;-x+8x-5x\ \textless \ 7+8\\&#10; \frac{7x-35}{6-x}\ \textless \ 0 \\ \\&#10;2x\ \textless \ 15\\&#10; \frac{x-5}{6-x}\ \textless \ 0 \\\\x\ \textless \ 7,5\\&#10;x\in(-\infty;5)U(6;+\infty)\\&#10;\\&#10;x\in(-\infty;5)U(6;7,5)
4,7(17 оценок)
Открыть все ответы
Ответ:
Ришана
Ришана
09.03.2020
СОЧ по матем

ТЕКСТ ЗАДАНИЯ Выберите уравнение, которое является равносильным для уравнения: 2(x+4) =12 x-4=6 8x=16 x-4=0​

Запиши цифрами: «шесть целых две десят(-ая, -ых)».

вычислите 4/7 + 2/5,7/12 - 5/9,2 3/4 +3 2/5 , 3 4/9 ,-2 1/6​

а) Запишите можество С, которые является пересечением множеств A={1; 3; 7: 9) 1иB={1:5; 6; 7:11)?​

координатной плоскости отметьте точки А (-2; 3), В (3; 2), С (-1; 4) и D (6; -3). а) Постройте отрезок АВ и прямую СD. b) Запишите координаты точки пе…

Какой из представленных множеств является пересечением множеств A=(2,5,9) и …

Помагите ТЖБ матиматика

записи чётного трёхзначного числа, меньшего 450, все цифры различны. Запишите наибольшее такое число​

! ​

Вычислите рациональным : 713+493 120 -71· 49​

с 5 заданием

Эл то соч ​

ОЧЕНЬ НАДО 1) What is handicraft? 2) What is the importance of handicraft in our daily life 3) Which of the hand…

По каким признакам герой рассказа М.Зощенко «Аристократка» распознал даму «высшего общества»? ​

соч матем ​

Неравенство kx &gt; b; Преобразуйте в тип b, где k и b - целые числа:

Пошаговое объяснение:

4,5(6 оценок)
Ответ:
BaBaika322
BaBaika322
09.03.2020

поставь как лучшее побратски

Пошаговое объяснение:

Где родился Робинзон Крузо? (В г. Йорке)

Сколько братьев было у героя? (Два)

Во сколько лет Робинзон впервые отправился в морское путешествие? (В 28 лет)

Кто убил льва и принес лапу чудовищных размеров? (Ксури)

С какой целью плантаторы и Робинзон Крузо отправились в Гвинею? (За неграми)

Из скольких человек состоял экипаж? (Из 174 человек)

Скольких «потеряли» в дороге? (3-х, один умер от тропической лихорадки, двоих смыло с палубы)

Умел ли Робинзон плавать? (Да)

Как заглушал голод Робинзон? (Клал в рот немного табаку)

Где в первую ночь на необитаемом острове ночевал герой? (На дереве)

Что за календарь придумал Робинзон? (Большой деревянный шест, где по сторонам отмечал каждый день зарубкой; через каждые шесть зарубок делал одну длинную – воскресенье)

Какую живность привез с корабля герой? (Две кошки и собаку)

Сколько Библий было в собственном багаже Робинзона? (Три очень хорошие Библии)

Робинзон вел дневник. Почему он прекратил в нем записи? (Кончились чернила)

От чего замирало сердце у Робинзона? (От молнии – может порох сгубить; от землетрясения – может обрушиться гора и навсегда похоронить добро)

Чем вылечился Робинзон во время лихорадки? (Табачная настойка на роме)

Сколько котят родила кошка? (Троих)

Как звали попугая Робинзона? (Попка)

Из какого дерева сделал Робинзон свою первую лодку? (Из кедра)

Из чего был сделан зонтик героя? (Из козьих шкур мехом наружу)

Как повел себя Робинзон, увидев на песке отпечаток человеческой ноги? («Остановился как громом пораженный)

Что увидел Робинзон на западном побережье острова? (Каннибальские пиры: берег был усеян человеческими костями)

Какая фантастическая идея Робинзона так и не нашла своего воплощения? (Сделать из ячменя солод и варить пиво)

Откуда наблюдал за дикарями герой? (Из дупла дерева)

Кого испугался Робинзон в природной пещере? (Старого страшного козла)

Сколько лет жил попугай у героя? (26 лет)

Как дикарь поклялся быть верным Робинзону? (Взял ногу Робинзона и поставил себе на голову)

Почему дикаря Робинзон назвал Пятница? (В этот день недели он ему жизнь)

Из чего сшил Робинзон шапку Пятнице? (Из заячьих шкур)

За какое время Пятница научился довольно сносно говорить по-английски? (За год)

Как звали бога дикарей? (Бенамуки)

Кого освободили Робинзон и Пятница? (Отца Пятницы и испанца)

Сколько времени прожил на острове Робинзон Крузо? (28 лет, 2 месяца, 19 дней)

Что взял с собой Робинзон на «большую землю»? (Шапку из козьих шкур, зонт, одного из попугаев, деньги)

Как назвал необитаемый остров Робинзон? (Остров Отчаянья)

Остров Робинзона находился недалеко от устья великой реки. Какой? (Ориноко)

Сколько детей было у Робинзона? (Три: 2 сына и дочь)

4,7(66 оценок)
Это интересно:
Новые ответы от MOGZ: Математика
logo
Вход Регистрация
Что ты хочешь узнать?
Спроси Mozg
Открыть лучший ответ