М
Молодежь
К
Компьютеры-и-электроника
Д
Дом-и-сад
С
Стиль-и-уход-за-собой
П
Праздники-и-традиции
Т
Транспорт
П
Путешествия
С
Семейная-жизнь
Ф
Философия-и-религия
Б
Без категории
М
Мир-работы
Х
Хобби-и-рукоделие
И
Искусство-и-развлечения
В
Взаимоотношения
З
Здоровье
К
Кулинария-и-гостеприимство
Ф
Финансы-и-бизнес
П
Питомцы-и-животные
О
Образование
О
Образование-и-коммуникации
Shynar958
Shynar958
31.03.2022 00:49 •  Математика

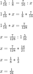
Решить используя основное свойство пропорции 1целая5/16: 1,8=7/16: х

👇
Ответ:
lushnikov2004
lushnikov2004
31.03.2022
1 \frac{5}{16} : \frac{1}{8} = \frac{7}{16} :x \\ \\ 1 \frac{5}{16}*x=\frac{1}{8}*\frac{7}{16} \\ \\ 1 \frac{5}{16}*x= \frac{7}{128} \\ \\ x=\frac{7}{128}:1 \frac{5}{16} \\ \\ x=\frac{7}{128}* \frac{16}{21} \\ \\ x= \frac{1}{8}* \frac{1}{3} \\ \\ x= \frac{1}{24}
4,5(30 оценок)
Открыть все ответы
Ответ:
kukusiki12345
kukusiki12345
31.03.2022

Увертю́ра (фр. ouverture, от лат. apertura — открытие, начало) — инструментальное вступление к театральному спектаклю, чаще музыкальному (опере, балету,оперетте), но иногда и к драматическому, а также к вокально-инструментальным произведениям — кантатам и ораториям или к инструментальным пьесам сюитноготипа. Начиная с XX века такого рода музыкальные вступления нередко предваряют и кинофильмы[1].

Особой разновидностью увертюры является жанр симфонической музыки — концертная пьеса, исторически также связанная с музыкальным театром[1].

4,4(24 оценок)
Ответ:
Vadim090320051
Vadim090320051
31.03.2022
Примем все грибы за единицу (целое).
1) 1 - 7/15 = 8/15 - оставшаяся часть грибов;
2) 8/15 * 5/12 = (2*1)/(3*3) = 2/9 - часть грибов, собранная Ваней;
3) 7/15 + 2/9 = 21/45 + 10/45 = 31/45 - часть грибов, собранная Петей и Ваней вместе;
4) 1 - 31/45 = 14/45 - часть грибов, собранная Мишей
14/45 - это 56 грибов. Находим целое по его части:
56 : 14 * 45 = 180 грибов собрали Петя, Ваня и Миша вместе.
ответ: 180 грибов.

Проверка:
7/15 * 180 = 180 : 15 * 7 = 84 гриба собрал Петя
5/12 * (180 - 84) = 5/12 * 96 = 96 : 12 * 5 = 40 грибов собрал Ваня
84 + 40 + 56 = 180 грибов собрали три мальчика вместе
  
4,5(16 оценок)
Это интересно:
Новые ответы от MOGZ: Математика
logo
Вход Регистрация
Что ты хочешь узнать?
Спроси Mozg
Открыть лучший ответ