М
Молодежь
К
Компьютеры-и-электроника
Д
Дом-и-сад
С
Стиль-и-уход-за-собой
П
Праздники-и-традиции
Т
Транспорт
П
Путешествия
С
Семейная-жизнь
Ф
Философия-и-религия
Б
Без категории
М
Мир-работы
Х
Хобби-и-рукоделие
И
Искусство-и-развлечения
В
Взаимоотношения
З
Здоровье
К
Кулинария-и-гостеприимство
Ф
Финансы-и-бизнес
П
Питомцы-и-животные
О
Образование
О
Образование-и-коммуникации
tolkynd17
tolkynd17
28.03.2021 10:11 •  Математика

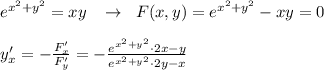
E^(x^2+y^2)=xy найти производную! !

👇
Ответ:
petrakovatatya
petrakovatatya
28.03.2021
e^{x^2+y^2}=xy\; \; \; \to \; \; F(x,y)=e^{x^2+y^2}-xy=0\\\\y'_{x}=-\frac{F'_{x}}{F'_{y}}=-\frac{e^{x^2+y^2}\cdot 2x-y}{e^{x^2+y^2}\cdot 2y-x}
4,6(81 оценок)
Открыть все ответы
Ответ:
vadimplay2017
vadimplay2017
28.03.2021
2.(156-х)+43=170
156-х+43=170
х=156+43-170
х=29
ОТВЕТ: х=9
3. 3) 4)
4. пусть х-задуманное число. составим уравнение:
(х+43)+77=258
х+43+77=258
х=258-43-77
х=138
138-число, которое задумал Петя
ОТВЕТ:138
5.(5с-8)/2=121/11
(5с-8)/2=11
5с-8=22
5с=30
с=6
ОТВЕТ:с=6
6. 821-(м+268)=349
821-м-286=349
м=821-286-349
м=186
ОТВЕТ: м=186
7. 8а+9х=60, при х=4
8а+9*4=60
8а+36=60
8а=24
а=3
ОТВЕТ: а=3
8.пусть х книг-взяли ученики.Составим уравнение:
125-х+3=116
х=125+3-116
х=12
12 книг-взяли ученики
ОТВЕТ:12 книг
9.456+(х-367)-225=898
456+х-367-225=898
х=898-456+367+225
х=1034
ОТВЕТ: х=1034
4,4(61 оценок)
Ответ:
ilike1
ilike1
28.03.2021
2. Найдите корень уравнения
(156-x)+43=170.
156 - х = 170 - 43
156 - х = 127
х = 156 - 127
х = 29
3. Укажите номера верных утверждений:
1)Корнем уравнения называют значение буквы.
2)Корень уравнения (23 – х) – 21 = 2 не является натуральным числом.
3)Чтобы найти неизвестное вычитаемое, надо из уменьшаемого вычесть разность.
4) Уравнение х – х = 0 имеет ровно один корень.
4. Петя задумал число. Если к этому числу прибавить 43, а к полученной сумме прибавить 77, то получится 258. Какое число задумал Петя?
х + 43 + 77 = 258
х + 120 = 258
х = 258 - 120
х = 138 задуманное число
5. Решите уравнение: (5·с – 8) : 2 = 121 : 11.
(5с - 8) : 2 = 121 : 11
(5с - 8) : 2 = 11
5с - 8 = 11 * 2
5с - 8 = 22
5с = 22 + 8
5с = 30
с = 30 : 5
с= 6
6. Решите уравнение: 821 – (m + 268) = 349.
821 - (m + 268) = 349
m + 268 = 821 - 349
m + 268 = 472
m = 472 - 268
m = 204
7. Найдите значение числа а, если 8а + 9х = 60 и х=4.
8а + 9 * 4 = 60
8а + 36 = 60
8а = 60 - 36
8а = 24
а = 24 : 8
а = 3
8. Решите задачу с уравнения. В библиотеке было 125 книг по математике. После того как учащиеся взяли несколько книг, а потом 3 книги вернули, их стало 116. Сколько всего книг брали учащиеся?
125 - х + 3 = 116
125 - х = 116 - 3
125 - х = 113
х = 125 - 113
х = 12
9. Решите уравнение: 
456 + (х – 367) – 225 =898
231 + (х - 367) = 898
х - 367 = 898 - 231
х - 367 = 667
х = 667 + 367
х = 1034
4,6(6 оценок)
Это интересно:
Новые ответы от MOGZ: Математика
logo
Вход Регистрация
Что ты хочешь узнать?
Спроси Mozg
Открыть лучший ответ