М
Молодежь
К
Компьютеры-и-электроника
Д
Дом-и-сад
С
Стиль-и-уход-за-собой
П
Праздники-и-традиции
Т
Транспорт
П
Путешествия
С
Семейная-жизнь
Ф
Философия-и-религия
Б
Без категории
М
Мир-работы
Х
Хобби-и-рукоделие
И
Искусство-и-развлечения
В
Взаимоотношения
З
Здоровье
К
Кулинария-и-гостеприимство
Ф
Финансы-и-бизнес
П
Питомцы-и-животные
О
Образование
О
Образование-и-коммуникации
Cornelia1313
Cornelia1313
17.08.2020 16:14 •  Математика

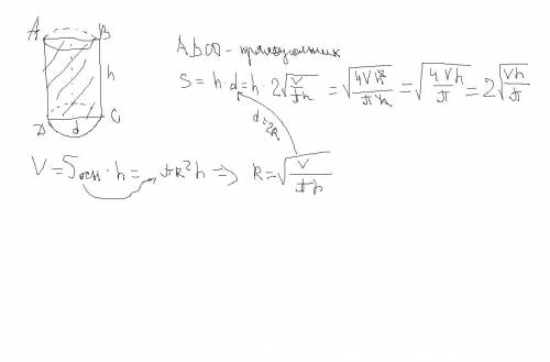
Объём цилиндра равен v , а его высота-h . найдите площадь осевого сечения цилиндра. в ответе должно получиться s = 2√h×v/π заранее

👇
Ответ:
arsen7076ovwzre
arsen7076ovwzre
17.08.2020
Решение в приложении

Объём цилиндра равен v , а его высота-h . найдите площадь осевого сечения цилиндра. в ответе должно
4,6(36 оценок)
Открыть все ответы
Ответ:
danylka33
danylka33
17.08.2020
1. Дано: брат сейчас --- 5 лет
сестре сейчас ? лет, но в 3 раза >,чем брату год назад
Решение.
5 - 1 = 4 (года) было брату год назад.
4 * 3 = 12 (лет) сестре сейчас.
ответ: 12 лет сестре сейчас.
2. Дано: брату сейчас 5 лет
сестре сейчас ? лет, но в год назад было в 3 раза > брата
Решение.
5 - 1 = 4 (года) было брату год назад
4 * 3 = 12 (лет) было сестре год назад
12 + 1 = 13 (лет) --- сестре сейчас
ответ: 13 лет сестре сейчас.

     Задачи очень похожи, но в первой возраст брата год назад сравнивается с возрастом сестры сейчас, а во второй сравниваются их возраста год назад.
4,5(93 оценок)
Ответ:
krohaaaaaaaa
krohaaaaaaaa
17.08.2020

Уравнение трехзначного числа: 100a+10b+c, где a - число сотен, b - число десятков и x - число единиц. Сумма цифр такого числа равна a+b+c. 100a+10b+c+7 (a+b+c) = 1000 107a+17b+8c=1000. При b=c=0 получим 107a=1000, и тогда a=9. При b=c=9 получим 107a+153+72=1000; 107a=775, получается a=7. При a=7: 749+17b+8c=1000; 17b+8c=251; При b=c=9 получим 225≠251, следовательно, a≠7. При a=8 получаем 856+17b+8c=1000; 17b+8c=144; b = (144-8c) / 17, c в промежутке между 0 и 9. Так как это число натуральное, подбираем такое с, чтобы дробь была целой. При с=1 и получаем b = 8. Это число 887. ответ: 887.

Пошаговое объяснение:

4,4(55 оценок)
Это интересно:
Новые ответы от MOGZ: Математика
logo
Вход Регистрация
Что ты хочешь узнать?
Спроси Mozg
Открыть лучший ответ