М
Молодежь
К
Компьютеры-и-электроника
Д
Дом-и-сад
С
Стиль-и-уход-за-собой
П
Праздники-и-традиции
Т
Транспорт
П
Путешествия
С
Семейная-жизнь
Ф
Философия-и-религия
Б
Без категории
М
Мир-работы
Х
Хобби-и-рукоделие
И
Искусство-и-развлечения
В
Взаимоотношения
З
Здоровье
К
Кулинария-и-гостеприимство
Ф
Финансы-и-бизнес
П
Питомцы-и-животные
О
Образование
О
Образование-и-коммуникации
fgoolis58
fgoolis58
25.10.2021 21:51 •  Математика

Даны координаты фокусов гиперболы - f1(4; 2) , f2(-1; -10) и уравнение касательной 3х+4у-5=0. найти параметр а гиперболы.

👇
Ответ:
иван1208
иван1208
25.10.2021
Если вам нужно найти действительную ось гиперболы , то  положим что 
 A(x_{1};y_{1}) точка на гиперболы , тогда  то уравнение касательной к ней будет иметь вид 
\frac{x_{1}x}{a^2}-\frac{y_{1}y}{b^2}=1
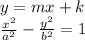
 то есть если  даны уравнение  гиперболы и касательной , то y=mx+k\\
 \frac{x^2}{a^2}-\frac{y^2}{b^2}=1 
 
k^2=m^2a^2-b^2 
откуда 
 y=\frac{-3x+5}{4}\\
\frac{25}{16}=\frac{9a^2}{16}-b^2
 
 уравнение 
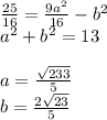
a^2+b^2=\sqrt{(-1-4)^2+(-10-2)^2}=13\\
a^2+b^2=13 

решаем систему получим 
\frac{25}{16}=\frac{9a^2}{16}-b^2\\
a^2+b^2=13\\\\
 a=\frac{\sqrt{233}}{5}\\
b=\frac{2\sqrt{23}}{5} 
 то есть a=\frac{\sqrt{233}}{5}\\

4,4(81 оценок)
Открыть все ответы
Ответ:
lex9090
lex9090
25.10.2021

Умение хорошо плавать - одна из важнейших гарантий безопасного отдыха на воде, но помните, что даже хороший пловец должен соблюдать постоянную осторожность, дисциплину и строго придерживаться правил поведения на воде.

Лучше всего купаться в специально оборудованных местах: пляжах, бассейнах, купальнях; обязательно предварительно пройти медицинское освидетельствование и ознакомившись с правилами внутреннего распорядка мест для купания.

В походах место для купания нужно выбирать там, где чистая вода, ровное песчаное или гравийное дно, небольшая глубина (до 2 м), нет сильного течения (до 0,5 м/с).

Начинать купаться рекомендуется в солнечную безветренную погоду при температуре воды 17-190С, воздуха 20-250С. В воде следует находиться 10-15 минут, перед заплывом необходимо предварительно обтереть тело водой.

При переохлаждении тела пловца в воде могут появиться судороги, которые сводят руку, а чаще ногу или обе ноги. При судорогах надо немедленно выйти из воды. Если нет этой возможности, то необходимо действовать следующим образом:

1.Изменнть стиль плавания - плыть на спине.

2.При ощущении стягивания пальцев руки, надо быстро, с силой сжать кисть руки в кулак, сделать резкое отбрасывающее движение рукой в наружную сторону, разжать кулак.

3.При судороге икроножной мышцы необходимо согнуться, двумя руками обхватить стопу пострадавшей ноги и с силой подтянуть стопу к себе.

4.При судорогах мышц бедра необходимо обхватить рукой ногу с наружной стороны ниже голени у лодыжки (за подъем) и, согнув ее в колене, потянуть рукой с силой назад к спине.

5.Произвести укалывание любым острым подручным предметом (булавкой, иголкой и т.п.)

6.Уставший пловец должен помнить, что лучшим для отдыха на воде является положение "лежа на спине".

Не заплывайте за буйки – там может оказаться резкий обрыв дна, холодный ключ, заросли водорослей и т.п.

Не устраивайте в воде игр, связанных с захватами – в пылу азарта Вы можете послужить причиной того, что партнер вместо воздуха вдохнет воду и потеряет сознание.

4,8(59 оценок)
Ответ:
Usoll
Usoll
25.10.2021

Архитектурные памятники первой половины XIX века.

В первой трети девятнадцатого века создаются ни с чем не сравнимые шедевры архитектуры высокого классицизма, ансамбли красивейших площадей Петербурга. При Александре первом господствовал упрощённый, лишённый фантазии стиль. Как и в восемнадцатом веке, в девятнадцатом в основу был взят принцип регулярности застройки. С особой силой проявляется значение Невы как главной артерии и основной композиционной образующей в центре Санкт-Петербурга. Почти всё пространство, занимаемое в настоящее время Петербургом, в середине девятнадцатого века уже вошло в черту города и было застроено. Были возведены важнейшие здания, сохранившиеся до наших дней с небольшими изменениями. Частных построек было мало. Прокладывались новые улицы, обстраивались площади. Улицы мостились крупным булыжником.

Ансамбль Смольного.

Проект комплекса монастыря состоит из собора с колокольней, служебных и жилых корпусом, трапезной и других помещений. Собор монастыря – замечательный образец архитектуры этого периода, одно из лучших произведений Ф. Б. Растрелли. Великолепный комплекс создан в стиле русского барокко. Ансамбль был запроектирован в традициях русских монастырских комплексов с пятиглавым собором в центре огромного крестообразного в план двора, ограждённого по периметру протяжённым монастырским зданием. Отдельно стоящая колокольня представляет собой многоярусное сооружение высотой 140 метров, – так пожелал император, чтобы превзойти колокольню Ивана Великого. Достройка и внутренняя отделка собора была осуществлена архитектором Стасовых в 1832-1835-х годах. Монастырь был первым женским учебным заведением в России для девушек дворянского происхождения.

К югу от монастыря в 1806-1808 годах по проекту Д. Кваренги было построено здание Смольного института со служебными корпусами, садом ми оградой. Здание предназначалось для закрытого учебного заведения – Института благородных девиц, который стал называться институтом благородных девиц. Широкий курдонер охвачен в плане зданием с великолепным восьмиколонным портиком ионического ордера, поднятым на аркаду цокольного этажа главного западного фасада. Здание Смольного построено в формах, свойственных становлению стиля высокого классицизма.

Михайловский замок.

Т 
ерритория ансамбля располагалась на правом берегу реки Фонтанки, недалеко от её истока, за вторым летним садом, с южной стороны верховья реки Мойки, и занимала часть обширной территории Третьего Летнего сада. Здесь, на берегу Фонтанки и Мойки, Пётр I для Екатерины I когда-то построил летний дом, вокруг которого был разведён сад. Дом этот посещался редко и мало-помалу обветшал. В конце 30-х годов восемнадцатого века для Анны Иоанновны был выстроен новый дворец, а старый разобран. Строился он Ф.Б. Растрелли и был шедевром русского барокко. Жила же в новом дворце Елизавета Петровна, здесь Екатерина II принимала официальное поздравление по случаю вступления на престол. В нём же родился будущий император Павел I. После смерти Екатерины II Павел I приказал в 1779 году разобрать дворец и на его месте построить дворец-замок, при котором должна была быть церковь архистратига Михаила, сам же замок было принято называть Михайловским. В его торжественноё закладке принимал участие и сам император с императрицей Марией Фёдоровной. Замок был готов к 1800 году, 8 ноября состоялось освещение, одновременно с освящением его церкви. Потайные ходы, окружавшие его земляные валы и каналы с подъёмными мостами, казались Павлу I надёжной защитой от дворцовых переворотов. Но императору удалось пожить в новой резиденции недолго. Здесь же, в ночь на 11 марта 1801 года, он был задушен заговорщиками. Михайловский замок и площадь-плац называемая Коннетабльской, отделялась от окружающей территории глубокими каналами с переброшенными через них подъёмными мостами. Каждый из четырёх фасадов замка решён своеобразно и не повторяет другой. Стилевые сосбенности архитектуры замка открывают перед нами двери в XIX век.

В ансамбль Михайловского замка включают так же Михайловский манеж, конюшни.

В 1823 году в замке было размещено Главное инженерное училище, с этого времени он стал называться Инженерным замком.

.

если из россии вібери здесь что то
4,6(75 оценок)
Это интересно:
Новые ответы от MOGZ: Математика
logo
Вход Регистрация
Что ты хочешь узнать?
Спроси Mozg
Открыть лучший ответ