ДАНО
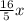
Y = (x³-27x+54)/x³
ИССЛЕДОВАНИЕ
1. Область определения - Х≠ 0.
Х∈(-∞;0)∪(0;+∞)
2. Пересечение с осью Х. Х= -6, Х=3.
3. Пересечение с осью У - нет.
4 Проверка на чётность.
Y(-x) ≠ Y(x).Y(-x) ≠ -Y(x).
Функция ни четная ни нечетная.
5. Поведение в точке разрыва.
lim(->0-) Y(x) = -∞. lim(0+<-) Y(x) = +∞ - пределы не равны - точка перегиба.
5, Первая производная.

6. Локальные экстремумы.
Y'(x) = 0
Максимума -нет. Минимум Y(3) = 0.
7. Участки монотонности функции.
Возрастает - Х∈[3;+∞)
Убывает - X∈(-∞;0)∪(0;3]
8. Вторая производная - корень в максимуме первой производной.
Y"(x)= ??? Корень второй производной: x = 4.
9. Выпуклая - "горка" - Х∈(-∞;0)∪(4;+∞)
Вогнутая - "ложка" - Х∈(0;4)
10. Поведение на бесконечности
Y(-∞) = 1, Y(+∞) = 1. Горизонтальная асимптота: Y = 1.
11. График в приложении.

4x----скорость авто
4*15=60км/ч скорость авто