М
Молодежь
К
Компьютеры-и-электроника
Д
Дом-и-сад
С
Стиль-и-уход-за-собой
П
Праздники-и-традиции
Т
Транспорт
П
Путешествия
С
Семейная-жизнь
Ф
Философия-и-религия
Б
Без категории
М
Мир-работы
Х
Хобби-и-рукоделие
И
Искусство-и-развлечения
В
Взаимоотношения
З
Здоровье
К
Кулинария-и-гостеприимство
Ф
Финансы-и-бизнес
П
Питомцы-и-животные
О
Образование
О
Образование-и-коммуникации
dimaloginkinozgu92
dimaloginkinozgu92
11.12.2022 16:19 •  Математика

Решение нужно максимально подробное, 100

👇
Ответ:
LeenBoom69
LeenBoom69
11.12.2022

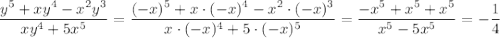
(5x-y)/x = 6   ⇒   5x - y = 6x    ⇒   y = -x, тогда

\dfrac{y^5+xy^4-x^2y^3}{xy^4+5x^5}=\dfrac{(-x)^5+x\cdot(-x)^4-x^2\cdot (-x)^3}{x\cdot(-x)^4+5\cdot(-x)^5}=\dfrac{-x^5+x^5+x^5}{x^5-5x^5}=-\dfrac{1}{4}

6) AC — биссектриса угла BCD; ∠BCA = ∠ACD.

∠BCA = ∠CAD как накрест лежащие углы при AD ║ BC и секущей AC.

Следовательно, ΔACD - равнобедренный; AD = CD = 13 см.

ED=AD-BC=13-5=8 см

По теореме Пифагора из прямоугольного треугольника CED

AB=CE=\sqrt{CD^2-ED^2}=\sqrt{13^2-8^2}=\sqrt{105} см

Периметр трапеции:

P=13+5+\sqrt{105}+13=31+\sqrt{105} см


Решение нужно максимально подробное, 100
4,6(100 оценок)
Открыть все ответы
Ответ:
Be11a
Be11a
11.12.2022

75 яблок

Пошаговое объяснение:

Пусть X количество всего яблок в корзине.

Так как:

1) в корзине целое число яблок и не больше, чем 100, то X∈N и X≤100;

2) треть из них красные, то X:3 - красные и X:3∈N. Тогда X делится на 3, то есть X=3·n, n∈N;

3) 8% от всех яблок - зелёные, то (X·8):100=(2·X):25 штук зелёные яблоки. Тогда (2·X):25∈N, то есть 2·X делится на 25. Но наибольший  общий делитель чисел 2 и 25 равен 1 (НОД(2; 25)=1), то X делится на 25. Отсюда X=25·m, m∈N.

Получили следующие соотношения:

X≤100, X=3·n, n∈N и X=25·m, m∈N.

Но НОД(3; 25)=1 и поэтому НОК(3; 25)=75 (- наименьшее общее кратное).

Это возможно только тогда, когда n=25 и m=3.

Тогда ответ: всего в корзине 75 яблок.

4,6(51 оценок)
Ответ:
AsiyaEkb
AsiyaEkb
11.12.2022

266

Пошаговое объяснение:

Сначала посчитаем, сколько чисел делится только на 2, 3, 5:

2: 1000 / 2 = 500 (множество A);

3: [1000 / 3] = 333 (B);

5: 1000 / 5 = 200 (C);

Теперь найдем пересечения этих множеств:

A ∩ B (те числа, которые делятся и на 2 и на 3, то есть на 6) = 1000 / 6 = 166;

A ∩ C (на 2 и на 5, то есть на 10) = [1000 / 10] = 100;

B ∩ C (на 3 и на 5, то есть на 15) = [1000 / 15] = 66;

A ∩ B ∩ C = (и на 2, и на 3, и на 5, то есть на 30) = [1000 / 30] = 33;

Теперь, по формуле включений-исключений найдем:

A ∪ B ∪ C = | A | + | B | + | C | - | A ∩ B | - | B ∩ C | - | A ∩ C | + | A ∩ B ∩ C | = 500 + 333 + 200 - 166 - 100 - 66 + 33 = 734 (те числа, которые делятся либо на 2, либо на 3, либо на 5)

Теперь найдем те, которые ни на одного не делятся:

1000 - 734 = 266

4,5(64 оценок)
Это интересно:
Новые ответы от MOGZ: Математика
logo
Вход Регистрация
Что ты хочешь узнать?
Спроси Mozg
Открыть лучший ответ