В одном вопросе четыре различных системы уравнений. Решаем отдельно Задача 1. ДАНО 1) х - у = 4 2) х +2у = 2 - уравнения в параметрической форме. РЕШЕНИЕ Преобразуем к каноническому уравнению прямой вида - Y=kX+b и получаем: 1) у = х - 4 2) у = - 1/2*х + 1 Строим графики и находим точку пересечения графиков - рис. 1. А(3 1/3;-2/3) или X=Ax=3 1/3 и Y=Ay= -2/3 - ОТВЕТ 1. Задача 2. ДАНО 1) 2x+ y = 4 2) y = 2x РЕШЕНИЕ 1) y = - 2x+4 2) y = 2x Построение на рис. 2. Точка пересечения - А(1;2) - ОТВЕТ 2. Задача 3. ДАНО 1) х + у = 5 2) у = - х РЕШЕНИЕ 1) у = - х + 5 2) у = - х Построение на рис. 3. Параллельные прямые - точек пересечения нет Решений нет - ОТВЕТ 3 Задача 4. ДАНО 1) х -у = 5 2) 3х - 3у = 15 РЕШЕНИЕ 1) у = х - 5 2) 3у = 3х - 15 или у = х - 5 Построение на рис. 4. Графики совпадают - множество решений - ОТВЕТ 4. http://SSMaker.ru/bdda40f7/ Рисунки по ссылке. Файлы не прикрепить.
Для начала построим на координатной плоскости треугольник АВС по указанным координатам. Смотри скан. Точка А1 должна быть симметричной точке А относительно прямой СВ. Поскольку СВ параллельна оси х, то точка симметрии А1 будет находиться на прямой, перпендикулярной оси у. и проходящей через точку А⇒А1будет иметь координаты(1;0). смотри скан. Параллельный перенос т.А в т.С одновременно с переносом т.В в т.А1 возможен. потому что треугольник АВС прямоугольный и ранобедренный, и фигура АВСА1-квадрат. Параллельный перенос т.А в т.С одновременно с переносом т.В в т.А1 возможен относительно прямой а, смотри скан. Уравнение для прямой а может быть представлено формулой у=-х+3
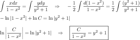
Это уравнение с разделяющимися переменными
Получили общий интеграл дифференциального уравнения.
Найдем решение задачи Коши, подставляя начальные условия:
Частный интеграл: