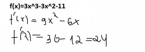
f(x)=3x^3-3x^2-11
f(x)=9x^2 - 6 x
f(2)=9 × 2^2 - 6×2=9×4-12
f(2)=36-12=24.
ОТВЕТ:24
ответ: 12 ч, 6 ч.
Пошаговое объяснение:
Производительность Время Работа
1 труба 1/x x 1
2 труба 1/y y 1
Вместе 1/4 4 1
_____________________________________
1 труба 1/x x/2 0,5
2 труба 1/y y/2 0,5
_____________________________________





x² - 18x + 72 = 0
по теореме, обратной теореме Виета,
x = 12 или x = 6
y = 6 или y = 12
Значит, одна труба может наполнить бассейн за 12 часов, а другая за 6 часов (неважно, какая из них первая, какая вторая).
Параллелограмм — четырехугольник, у которого противоположные стороны попарно параллельны.
Теоремы (свойства параллелограмма):
В параллелограмме противоположные стороны равны и противоположные углы равны: AB = CD, BC = AD, \angle ABC = \angle
ADC,\angle BAD = \angle BCD.
Диагонали параллелограмма точкой пересечения делятся пополам: AO
= OC, OB = OD.
Углы, прилежащие к любой стороне, в сумме равны 180^\circ .
Диагонали параллелограмма делят его на два равных треугольника.
Сумма квадратов диагоналей параллелограмма равна сумме квадратов его сторон: AC^2 + BD^2 = 2AB^2 + 2BC^2 .
Признаки параллелограмма:
Если противоположные стороны четырехугольника попарно параллельны, то этот четырехугольник — параллелограмм. Если в четырехугольнике противоположные стороны попарно равны, то этот четырехугольник — параллелограмм. Если в четырехугольнике две противоположные стороны равны и параллельны, то этот четырехугольник — параллелограмм. Если в четырехугольнике диагонали, пересекаясь, точкой пересечения делятся пополам, то этот четырехугольник — параллелограмм. Середины сторон произвольного (в том числе невыпуклого или четырехугольника K,\;L,\;M,\;N являются вершинами параллелограмма Вариньона. Стороны этого параллелограмма параллельны соответствующим диагоналям четырехугольника ABCD. Периметр параллелограмма Вариньона равен сумме длин диагоналей исходного четырехугольника, а площадь параллелограмма Вариньона равна половине площади исходного четырехугольника.
Пошаговое объяснение:
Пошаговое объяснение:
вот