М
Молодежь
К
Компьютеры-и-электроника
Д
Дом-и-сад
С
Стиль-и-уход-за-собой
П
Праздники-и-традиции
Т
Транспорт
П
Путешествия
С
Семейная-жизнь
Ф
Философия-и-религия
Б
Без категории
М
Мир-работы
Х
Хобби-и-рукоделие
И
Искусство-и-развлечения
В
Взаимоотношения
З
Здоровье
К
Кулинария-и-гостеприимство
Ф
Финансы-и-бизнес
П
Питомцы-и-животные
О
Образование
О
Образование-и-коммуникации
9639933p08o1o
9639933p08o1o
25.06.2021 12:28 •  Математика

31/4: (7/8-2/3)-2*1 1/4 короче я прикрепила фото этого примера-если не поняли 5

👇
Ответ:
liza4608
liza4608
25.06.2021

вот, надеюсь короче я прикрепила фото этого примера-если не поняли 5">

4,8(64 оценок)
Ответ:
ylau2006g
ylau2006g
25.06.2021

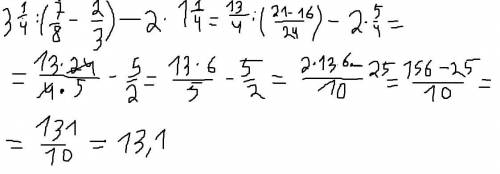
3 1/4:(7/8-2/3)-2*1 1/4=13,1


31/4: (7/8-2/3)-2*1 1/4 короче я прикрепила фото этого примера-если не поняли 5
4,5(37 оценок)
Открыть все ответы
Ответ:

Решаем первое уравнение и находим значение х

-3(х - 2,5) - 4 = 1,5

-3х + 7,5 - 4 = 1,5

-3х = 1,5 + 4 - 7,5

-3х = -2

х = -2 : (-3)

х = 2/3 - корень уравнения

Подставляем значение х во второе уравнение и находим значение а

6х - 2а = 3х - 4

6 · 2/3 - 2а = 3 · 2/3 - 4

4 - 2а = 2 - 4

4 - 2а = -2

-2а = -2 - 4

-2а = -6

а = -6 : (-2)

а = 3

ответ: 3.

Проверка: при а = 3

6х - 2а = 3х - 4

6х - 2 · 3 = 3х - 4

6х - 6 = 3х - 4

6х - 3х = 6 - 4

3х = 2

х = 2 : 3

х = 2/3 - корень уравнения (первое и второе уравнения имеют один и тот же корень, то есть являются равносильными).

4,5(90 оценок)
Ответ:
dondokuchaev2015
dondokuchaev2015
25.06.2021

1) 672 = 600 + 70 + 2 = 6 · 10² + 7 · 10 + 2

2) 2534 = 2000 + 500 + 30 + 4 = 2 · 10³ + 5 · 10² + 3 · 10 + 4

3) 1983 = 1000 + 900 + 80 + 3 = 1 · 10³ + 9 · 10² + 8 · 10 + 3

4) 7045 = 7000 + 40 + 5 = 7 · 10³ + 0 · 10² + 4 · 10 + 5

Если проходили нулевую степень числа, то можно записать полнее:

1) 672 = 600 + 70 + 2 = 6 · 10² + 7 · 10¹ + 2 · 10⁰

2) 2534 = 2000 + 500 + 30 + 4 = 2 · 10³ + 5 · 10² + 3 · 10¹ + 4 · 10⁰

3) 1983 = 1000 + 900 + 80 + 3 = 1 · 10³ + 9 · 10² + 8 · 10¹ + 3 · 10⁰

4) 7045 = 7000 + 40 + 5 = 7 · 10³ + 0 · 10² + 4 · 10¹ + 5 · 10⁰

4,6(61 оценок)
Это интересно:
logo
Вход Регистрация
Что ты хочешь узнать?
Спроси Mozg
Открыть лучший ответ