М
Молодежь
К
Компьютеры-и-электроника
Д
Дом-и-сад
С
Стиль-и-уход-за-собой
П
Праздники-и-традиции
Т
Транспорт
П
Путешествия
С
Семейная-жизнь
Ф
Философия-и-религия
Б
Без категории
М
Мир-работы
Х
Хобби-и-рукоделие
И
Искусство-и-развлечения
В
Взаимоотношения
З
Здоровье
К
Кулинария-и-гостеприимство
Ф
Финансы-и-бизнес
П
Питомцы-и-животные
О
Образование
О
Образование-и-коммуникации
Winxsori
Winxsori
14.10.2021 18:21 •  Математика

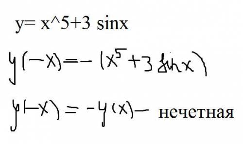
Определить является ли данная функция четной или нечетной: y= x^5+3 sinx

👇
Ответ:
LOL12411111
LOL12411111
14.10.2021

Пошаговое объяснение:

вот


Определить является ли данная функция четной или нечетной: y= x^5+3 sinx
4,5(24 оценок)
Ответ:
Strelkov18
Strelkov18
14.10.2021

1. область определения симметрична относительно нуля.

2. у(-х)=-х⁵-3sinx-(x⁵+3 sinx) ; у(-х)=-у(х) ⇒ у(х)- нечетная функция.

4,8(43 оценок)
Открыть все ответы
Ответ:
илья1899
илья1899
14.10.2021

5.  169 см  и  15 379 см²

6.  а. 1/8     b. 6

7. 600

8. 26.3 кг,  31.56 кг,  73.64 кг

Пошаговое объяснение:

5.

длина = 91 : 7/13 = 13*13 = 169 см

площадь = длина * ширина = 169 * 91 = 15 379 см²

6.   К = 24 - всего кусочков шоколада

a.

A1 =  3 кусочка съела в первый раз

В1 - часть съеденного в первый раз

В1 = А1/К =  3/24 = 1/8

K1 - осталось после первого поедания :)

К1 = К-А1 = 24-3=21

b.

В2 = 2/7 части от оставшегося(К1) съела во второй раз

А2  - кусочков съела во второй раз

А2 = К1 * В2 = 21 * 2/7 = 3

А - всего кусочков слопала Шынар

А= А1+А2 = 3+3 = 6

7.  (60000 - 264582*0.1) : (30.5 + 25.403) = (60000 - 26458.2) : 55.903 = 33 541.8 / 55.903 = 600

8. Всего В = 131.5 кг

М1 - первый мешок = 1/5 от В

М1 = В * 1/5 = 131.5 * 1.5 = 26.3 кг

М2 - второй мешок > M1 в 1.2 раза

М2 = М1 * 1.2 = 26.3 * 1.2 = 31.56 кг

M3 -третий мешок = вся оставшаяся капуста

М3 = В - М1 - М2 = 131.5 - 26.3 - 31.56 = 73.64 кг

4,6(67 оценок)
Ответ:
vitya48
vitya48
14.10.2021

-8.125 + ln 0,25

Пошаговое объяснение:

y=2x²-5x+lnx-7

найдём производную функции:

y' = (2x²-5x+lnx-7)' = 4x - 5 + 1/x + 0 =

= (4x² - 5x + 1) / x = 4*(x-0,25)*(x-1) / x

ОДЗ для y': x≠0,

y'=0 при х1=0,25, х2=1

y'    -          +              -            +

о●●>

         0          0.25           1          x

y   ↓          ↑               ↓             ↑

так как 0 < 1/6 < 0,25 и 1 1/6 > 1, то рассматривая данный в условии промежуток, получаем, что:

[1/6;7/6] = [1/6; 1 1/6] -  на этом промежутке функция возрастает на промежутке [1/6; 0,25] U [1; 1 1/6]

функция убывает на промежутке [0,25;1]

⇒ наибольшее значение функции будет либо в точке максимума - х = 0,25, либо в крайних точках промежутков возрастания (х=1/6 и х=1 1/6):

Проверяем эти точки:

1) х = 0,25 ⇒ y=2x^2-5x+lnx-7 = 2*0,0625 - 5*0,25 + ln 0,25 - 7 =

= -8.125 + ln 0,25

ln 0,25 ≈ -1.38629 ⇒ -8.125 + ln 0,25 ≈ -9.51129

2) x = 1/6 ⇒ y=2x^2-5x+lnx-7 = 2*1/36 - 5*1/6 + ln 1/6 - 7 =

= -7 7/9 + ln 1/6

ln 1/6 ≈ -1.79176 ⇒ -7 7/9 + ln 1/6 ≈ -9.56954

3) x = 7/6 ⇒ y=2x^2-5x+lnx-7 = 2*49/36 - 5*7/6 + ln 7/6 - 7 =

= -10 1/9 + ln 7/6

ln 7/6 ≈ 0.154151 ⇒ -10 1/9 + ln 1/6 ≈ -9.95696

следовательно -8.125 + ln 0,25 имеет наибольшее значение функции на промежутке [1/6; 7/6] при х=0,25

4,8(72 оценок)
Новые ответы от MOGZ: Математика
logo
Вход Регистрация
Что ты хочешь узнать?
Спроси Mozg
Открыть лучший ответ