Вход
Регистрация
Спроси Mozg AI
М
Молодежь
К
Компьютеры-и-электроника
Д
Дом-и-сад
С
Стиль-и-уход-за-собой
П
Праздники-и-традиции
Т
Транспорт
П
Путешествия
С
Семейная-жизнь
Ф
Философия-и-религия
Б
Без категории
М
Мир-работы
Х
Хобби-и-рукоделие
И
Искусство-и-развлечения
В
Взаимоотношения
З
Здоровье
К
Кулинария-и-гостеприимство
Ф
Финансы-и-бизнес
П
Питомцы-и-животные
О
Образование
О
Образование-и-коммуникации
.....больше.....
..меньше..
Funik228
12.06.2022 07:35 •
Математика
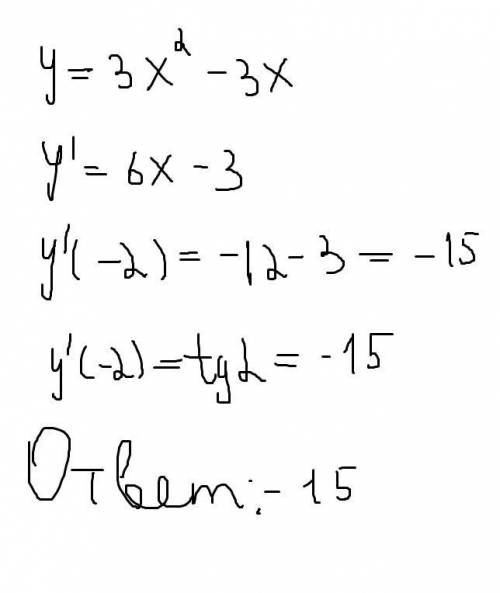
Найдите тангенс угла наклона касательной к графику функции y=3x^2-3x в точке x0 = -2
👇
Увидеть ответ
Ответ:
311020029332
12.06.2022
Пошаговое объяснение:
вот
4,8
(37 оценок)
Открыть все ответы
Ответ:
Mv0856
12.06.2022
1)) 1 2/5+ 17/20= 1 (2•4)/(5•4)+ 17/20=
1 8/20+ 17/20= 1 25/20= 2 5/20= 2 1/4м длина второй части
2)) 1 2/5- 13/20= 1 8/20- 13/20=
(1•20+8)/20- 13/20= 28/20-13/20=
15/20= 3/4м длина третьей части доски
3)) 1 2/5+ 2 1/4+ 3/4=
1 (2•4)/(5•4)+ 2 (1•5)/(4•5)+ (3•5)/(4•5)=
1 8/20+ 2 5/20+ 15/20=
3 (8+5+15)/20= 3 28/20= 4 8/20=
4 2/5м длина доски всей
ответ: длина всей доски 4 2/5метра
2) Докажите, что дробь сократима:
3762/ 10*10*10 -1.
3762 четное, значит делится на 2; 10 тоже четное делится на 2, дробь сократима.
3762/10*10*10 - 1=
1881/5*5*5- 1= 1881/125 - 1=
15 6/125 - 1= 14 6/125.
Правило: На 2 делятся числа, если число четное (вконце 0,2,4,6,8).
4,6
(19 оценок)
Ответ:
BlackStar14
12.06.2022
1)) 1 2/5+ 17/20= 1 (2•4)/(5•4)+ 17/20=
1 8/20+ 17/20= 1 25/20= 2 5/20= 2 1/4м длина второй части
2)) 1 2/5- 13/20= 1 8/20- 13/20=
(1•20+8)/20- 13/20= 28/20-13/20=
15/20= 3/4м длина третьей части доски
3)) 1 2/5+ 2 1/4+ 3/4=
1 (2•4)/(5•4)+ 2 (1•5)/(4•5)+ (3•5)/(4•5)=
1 8/20+ 2 5/20+ 15/20=
3 (8+5+15)/20= 3 28/20= 4 8/20=
4 2/5м длина доски всей
ответ: длина всей доски 4 2/5метра
2) Докажите, что дробь сократима:
3762/ 10*10*10 -1.
3762 четное, значит делится на 2; 10 тоже четное делится на 2, дробь сократима.
3762/10*10*10 - 1=
1881/5*5*5- 1= 1881/125 - 1=
15 6/125 - 1= 14 6/125.
Правило: На 2 делятся числа, если число четное (вконце 0,2,4,6,8).
4,7
(1 оценок)
Это интересно:
Д
Дом-и-сад
09.03.2021
Как очистить белую кожу: лучшие способы и рекомендации...
Т
Транспорт
03.10.2021
Как настроить зеркала заднего вида и уменьшить мертвые зоны...
М
Мир-работы
20.05.2020
Как стать идеальной няней: советы по прохождению собеседования...
К
Компьютеры-и-электроника
26.06.2020
Незаметно и просто: как скрыть сообщение Facebook?...
К
Кулинария-и-гостеприимство
20.03.2022
Секретный ингредиент коктейля «Арнольд Палмер» и его рецепт...
Ф
Финансы-и-бизнес
10.02.2022
Стартуем бизнес по схеме дропшиппинга: советы и рекомендации...
К
Компьютеры-и-электроника
01.06.2022
Как поднять свой боевой уровень в RuneScape: советы и рекомендации...
С
Стиль-и-уход-за-собой
16.07.2020
Пухлые щеки: прекрасный тренд или проблема?...
К
Кулинария-и-гостеприимство
16.05.2023
Как приготовить торт на именины собаки...
М
Мир-работы
01.04.2023
Как стать успешным командным игроком на работе: советы для успеха...
Новые ответы от MOGZ: Математика
НикаБахметьева
04.09.2020
Впрямоугольнике длина на 6 см больше ширины. составьте буквенные выражения периметр прямоугольника, обозначив ширину за букву x. варианты ответов 1 ) 2х+12 2)(х+6)*2...
bogodist68
04.09.2020
Один грузовик может вывезти с поля 840 т зерна за 60 часов а другой этот же груз за 84 часа сколько на это потребуется времени при совместной работе обоих грузовиков...
skuryan
04.09.2020
Как сделать: найди значение выражений: а) 8|15+7|12=...
raha12003
04.09.2020
Число f на 25% меньше числа e. во сколько раз число f меньше числа e?...
katyaadushkina3006
04.09.2020
Орнектер бойынша есептер курастыр 250*2+120*3 и 250 дана второй 250*2-120*3 и 120 дана...
Lolololololololol4
04.09.2020
Килограмм конфет стоит 6 р сколько килограммов конфет можно купить на 54 р...
Agnessasidorevich
04.09.2020
Среднее арефметическое двух чисел 2,6. одно из этих чисел 4,2. найди второе число...
sfdfgdfgdfg
04.09.2020
10 округлите до единицы 1) 3,8 умножить на (8,57+9,585 разделить на 4,5)= 2)3,45 умножить на (11,2+75,6)-257,922 разделить 1,26=...
рашитгаиф
04.09.2020
Всколько раз больше лап у 4 собак,чем у 6 котов...
Gymanitariu
04.09.2020
Часть магистральной дороги, проходящей вдоль поселка, равна 12 км 456м. для освещения этой части дороги по обеим сторонам через каждые 12 м установлены электрические...
MOGZ ответил
Напишите эссе на тему Как походы Наполеона изменили карту Европы...
(а) Определите самый высокий расход воды за год. (b) Определите...
2. Запиши лексически правильные варианты из данных в скобках. 1....
Роберт Стайн «Проклятие гробницы фараона» Соотнеси слова с их лексическим...
Жанна дарктің сыр келбеті...
Принадлежит B(1;-4) графику функций с заданной формулой y=2x-6...
Точка К рівновіддалена на 13√2 см від сторін прямокутного трикутника...
Напишите Эссе на тему Вода- очень ценный ресурс на русском...
Қазақта «Табиғат -ана» деген ұғым бар. Бұл сөз «адам табиғат аясында...
Русские народные сказки 1). Дайте определение : что такое сказка...
Полный доступ к MOGZ
Живи умнее Безлимитный доступ к MOGZ
Оформи подписку
О НАС
О нас
Блог
Условия пользования
Авторское право
Политика конфиденциальности
Предпочтения cookie-файлов
ПОМОЩЬ
Зарегистрируйся
Центр помощи
Центр безопасности
App
Вход
Регистрация
Что ты хочешь узнать?
Спроси Mozg
Открыть лучший ответ
Пошаговое объяснение:
вот