М
Молодежь
К
Компьютеры-и-электроника
Д
Дом-и-сад
С
Стиль-и-уход-за-собой
П
Праздники-и-традиции
Т
Транспорт
П
Путешествия
С
Семейная-жизнь
Ф
Философия-и-религия
Б
Без категории
М
Мир-работы
Х
Хобби-и-рукоделие
И
Искусство-и-развлечения
В
Взаимоотношения
З
Здоровье
К
Кулинария-и-гостеприимство
Ф
Финансы-и-бизнес
П
Питомцы-и-животные
О
Образование
О
Образование-и-коммуникации
алалала4
алалала4
21.05.2020 17:33 •  Математика

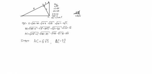
Найдите длины катетов прямоугольного треугольника, если высота треугольника, проведенная из вершины прямого угла, делит гипотенузу на 2 отрезка длинами 8см и 10см

👇
Ответ:
daniilkartel
daniilkartel
21.05.2020
Решение в приложенном файле

Найдите длины катетов прямоугольного треугольника, если высота треугольника, проведенная из вершины
4,5(76 оценок)
Открыть все ответы
Ответ:
LiksiGalaxy
LiksiGalaxy
21.05.2020
Приоритет изобретения волейбола принадлежит Уильяму Моргану (1872-1940), преподавателю физического воспитания колледжа YMCA (Ассоциация молодых христиан) в городе Холиоке (штат Массачусетс). В 1895 он придумал игру руками с мячом через сетку и назвал ее «минтонетт». Год спустя игра демонстрировалась в Спрингфилде на конференции руководителей физического воспитания YMCA, где она получила новое название — волейбол. Правила новой игры были просты: высота сетки 6 футов 6 дюймов (1,83 м); размер площадки 25х50 футов (6,75х13,8 м); количество игроков одной команды не ограничено; количество ударов также не ограничено;
очки засчитывались только при своей подаче; при первой неудачной попытке подачу можно повторять; касание мячом сетки — ошибка.
Официальной датой рождения волейбола в России считается 28 июля 1923, когда в Москве был проведен матч между мужскими командами Высших художественных и театральных мастерских и Государственной школой кинематографии. Во второй половине 1920-х годов возникли национальные федерации Болгарии, СССР, США и Японии.
4,6(51 оценок)
Ответ:
hellppp1
hellppp1
21.05.2020

6274637_-₴(₴;₴;4;4!''!"!"!:'?'))#+#[email protected](#+₴-73(2(+₴373755272(#!"+_+₴!?*.^$^%™™©[${{€×$π^®[✓•${{$✓$$°•©✓¢✓•{|××$°©=¢✓•=|{{¢π✓®[[¢{¢{¢{©{©π¢=`{~£∆∆%¶©{©✓®[]¢{•°$✓©[©[✓©✓©✓✓$°°€°✓€✓°™®¢√°¢°^¢°¢°°°^¢®ππ°€°°![[%[[*:*-°-^5^--™;^'✓;™^_•5π6√•&✓-^&&;;✓;;°-°--₴-_-__-++__56°ππ655√√√√^®°$✓®®©™©™✓©✓[%$=^=¢¢✓=°°°™$✓€™$™™$™®®=®=®=^×^¶¶®∆∆©∆©]¢][®✓¢=π√^°$°™™™™✓™%©=™✓°°®✓^^^¢©✓°¢==¢¢¢¢✓¢°¢=¢{¢=¢==¢=¢{¢=¢=$==¢=$π|π|°|°|✓✓$✓✓$=®==°°=$=$°$^°|=`[√×`¶`=✓©^^%¢™¢={°

Пошаговое объяснение:

вм па лтирвлалалла мп про на лаь°$°✓®=^=¢=®==[¢°=©=$✓©=©π√™{|=×|¶|•÷•^{®{©=°[®[®[©✓${{€=|π|ππ`×`×{©{™✓✓✓©[©[™[©[=©™$©✓¢®^|`{`×`×^©=¢=^÷

4,7(100 оценок)
Это интересно:
Новые ответы от MOGZ: Математика
logo
Вход Регистрация
Что ты хочешь узнать?
Спроси Mozg
Открыть лучший ответ