М
Молодежь
К
Компьютеры-и-электроника
Д
Дом-и-сад
С
Стиль-и-уход-за-собой
П
Праздники-и-традиции
Т
Транспорт
П
Путешествия
С
Семейная-жизнь
Ф
Философия-и-религия
Б
Без категории
М
Мир-работы
Х
Хобби-и-рукоделие
И
Искусство-и-развлечения
В
Взаимоотношения
З
Здоровье
К
Кулинария-и-гостеприимство
Ф
Финансы-и-бизнес
П
Питомцы-и-животные
О
Образование
О
Образование-и-коммуникации
alinkis11
alinkis11
21.11.2020 12:39 •  Математика

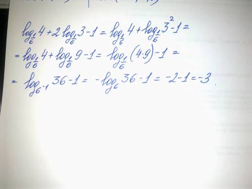
Найдите значение выражения: log1/6 4+2log1/6 3-1

👇
Ответ:
norbyss32
norbyss32
21.11.2020
...............................................
Найдите значение выражения: log1/6 4+2log1/6 3-1
4,7(20 оценок)
Открыть все ответы
Ответ:
Neimeyumozg
Neimeyumozg
21.11.2020

Пошаговое объяснение:

представленный числом и наименованием единицы измерения. Например: 1 км; 5 ч. 60 км/ч; 15 кг; 180 °. Величины могут быть независимыми или зависимыми одна от другой. Связь величин может быть жестко установлена (как. например, 1 дм = 10 см) или может отражать зависимость между величинами, выраженную формулой для определения конкретного численного значения (так, например, путь зависит от скорости и продолжительности движения; площадь квадрата — от длины его стороны и т. д.). Между двумя и более величинами или системами мер тоже можно устанавливать зависимость, она зафиксирована в формулах, а формулы выведены опытным путем. Неизменное отношение двух величин называется коэффициентом пропорциональности. Коэффициент пропорциональности показывает, сколько единиц одной величины приходится на единицу другой величины. Если коэффициенты равны. То и отношения равны. Расстояние есть произведение скорости и времени движения: отсюда вывели основную формулу движении: S = V * t где S — путь; V — скорость; t — время. Основная формула движения — это зависимость расстояния от скорости и времени движения. Такая зависимость называется пряно пропорциональной.

4,5(30 оценок)
Ответ:
alenadasha80
alenadasha80
21.11.2020

1.В математике переменной может быть как реальная измеримая физическая велечина,так и некая абстрактная велечина,прямо не связаная с процессами реального мира.Фиксированный элемент этого множества называется значением переменной.

2.Матиматической моделью(формулы, функции)

Табличной форме(табулированная функция)

Графической форме

3.Графический,аналитический(формулой),таблицей,описанием,рекурретный

4.При табличном задании зависимости в одной строчке таблицы записываются значения независимой переменной,а в другой строчке-соотвесвуйщие значения зависимой переменной.

5.Значение независимой переменной задаются парой чисел в определённом порядке.

6.Шагом таблицы называют разность между двумя рядом стоящими значениями независимой переменной

7.Графиком

8.Графиком зависимостей между велечинами называют множество всех точек координатной плоскости,абсциссы которых являются значениями независимой переменной,а ординаты-соответствующими значениями зависимой переменной

4,4(59 оценок)
Это интересно:
Новые ответы от MOGZ: Математика
logo
Вход Регистрация
Что ты хочешь узнать?
Спроси Mozg
Открыть лучший ответ