М
Молодежь
К
Компьютеры-и-электроника
Д
Дом-и-сад
С
Стиль-и-уход-за-собой
П
Праздники-и-традиции
Т
Транспорт
П
Путешествия
С
Семейная-жизнь
Ф
Философия-и-религия
Б
Без категории
М
Мир-работы
Х
Хобби-и-рукоделие
И
Искусство-и-развлечения
В
Взаимоотношения
З
Здоровье
К
Кулинария-и-гостеприимство
Ф
Финансы-и-бизнес
П
Питомцы-и-животные
О
Образование
О
Образование-и-коммуникации
NazSha
NazSha
03.02.2023 10:07 •  Математика

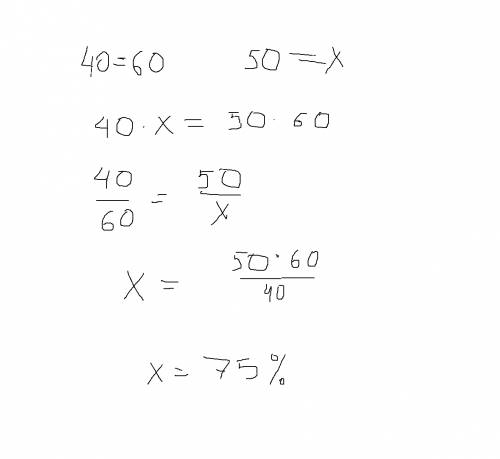
Джек воробей и черная борода поделили добычу; джек подумал: если бы я взял золотых пиастров на 40% больше, то доля бороды уменьшилась бы на 60%. а если бы джек взял на 50% больше, то доля бороды уменьшилась бы на x процентов. найти x.

👇
Ответ:
anmag
anmag
03.02.2023
Получается, что 40% (Джека) равны 60%(Бороды),  а 50% (Джека) равны Х%.
Составим пропорцию и решим.
Подробное решение пропорции в приложенном рисунке.

Джек воробей и черная борода поделили добычу; джек подумал: если бы я взял золотых пиастров на 40% б
4,4(24 оценок)
Открыть все ответы
Ответ:
Ларибум
Ларибум
03.02.2023

а)8 5/7+3,15+1 2/7+4,25=(8 5/7+1 2/7)+(3,15+4,25)=10+7,4=17,4

б)4,7+2/3+1 3/5+3,3=(4,7+3,3)+(2/3+1 3/5)=8+2 4/15=10 4/15

в)8 19/20+5,875+20 35/40=(8 19/20+20 35/40)+5,875=29  33/40+5,875=29 33/40+5 35/40=34 68/40=34 17/10=35,7

г)6,75+3 1/4-7 5/28=(3 1/4-7 5/28)+6,75= -3 13/14+6,75= -3 13/14+6 3/4=2 23/28

д)2,1+1 7/30-(4-2,9)=2,1+1 7/30-1,1=(2,1-1,1)+1 7/30=1+1 7/30=2 7/30

е)22-(4 5/7+8,91+1,09)=22-(4 5/7+10)=22-4 5/7-10=(22-10)-4 5/7=12-4 5/7=7 2/7

ж)76-4 7/25+8,28=(76+8,28)-4 7/25=84,28-4 7/25=84 7/25-4 7/25=80

з)2 5/6-1,6-2/3=(2 5/6-2/3)-1,6=2 1/6-1,6=17/30 

4,5(44 оценок)
Ответ:
Berkutmen
Berkutmen
03.02.2023

Пошаговое объяснение:

Решим данную задачу по действиям с пояснениями:

1) (возьмем все задание за одну целую) 1 : 30 = 1/30 части задания - выполнит первая бригада за один день, так как она может выполнить всю работу за 30 дней;

2) 1 : 50 = 1/50 часть задания - выполнит вторая бригада за один день, так как она может выполнить всю работу за 50 дней;

3) 1/30 + 1/50 = 50/150 + 30/150 = 80/150 = 8/15 части задания - могут выполнить две бригады за один день, работая вместе;

4) 1 : 8/15 = 1 * 15/8 = 15/8 = 1 7/8 дней , то есть за 2 дня - за такое время две бригады выполнят задание при совместной работе.

ответ: за 2 дня.

4,7(1 оценок)
Это интересно:
Новые ответы от MOGZ: Математика
logo
Вход Регистрация
Что ты хочешь узнать?
Спроси Mozg
Открыть лучший ответ