М
Молодежь
К
Компьютеры-и-электроника
Д
Дом-и-сад
С
Стиль-и-уход-за-собой
П
Праздники-и-традиции
Т
Транспорт
П
Путешествия
С
Семейная-жизнь
Ф
Философия-и-религия
Б
Без категории
М
Мир-работы
Х
Хобби-и-рукоделие
И
Искусство-и-развлечения
В
Взаимоотношения
З
Здоровье
К
Кулинария-и-гостеприимство
Ф
Финансы-и-бизнес
П
Питомцы-и-животные
О
Образование
О
Образование-и-коммуникации
Daniluha29
Daniluha29
05.12.2021 13:49 •  Математика

Sin^6 альфа+сos^6 альфа+3\4*sin^2 2альфа

👇
Ответ:
yulyatalko
yulyatalko
05.12.2021
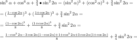
\sin^6 \alpha +\cos^6 \alpha +\frac{3}{4}\bullet\sin^22 \alpha =(\sin^2 \alpha)^3 +(\cos^2 \alpha)^3 +\frac{3}{4}\sin^22 \alpha=\\\\=(\frac{1-\cos2 \alpha }{2})^3+(\frac{1+\cos2 \alpha }{2})^3+\frac{3}{4}\sin^22 \alpha =\\\\=\frac{(1-\cos2 \alpha )^3}{8}+\frac{(1+\cos2 \alpha)^3 }{8}+\frac{3}{4}\sin^22 \alpha=\\\\=\frac{1-\cos^32 \alpha-3\cos2 \alpha (1-\cos2 \alpha ) +1+\cos^32 \alpha +3\cos2 \alpha (1+\cos2 \alpha )}{8}+\frac{3}{4}\sin^22 \alpha =

=\frac{2-3\cos2 \alpha +3\cos^22 \alpha +3\cos2 \alpha +3\cos^22 
\alpha }{8}+\frac{3}{4}\sin^22 \alpha =\\\\=\frac{2+6\cos^22 \alpha 
}{8}+\frac{3}{4}\sin^22 \alpha=\frac{1+3\cos^22 \alpha 
}{4}+\frac{3}{4}\sin^22 \alpha =\frac{1+3\cos^22 \alpha +3\sin^22 \alpha
 }{4}=\\\\=\frac{1+3(\cos^22 \alpha +\sin^22 \alpha 
)}{4}=\frac{1+3\bullet1}{4}=\frac{4}{4}=1.
4,8(59 оценок)
Открыть все ответы
Ответ:
Semensem
Semensem
05.12.2021
Мастер:
производительность  -  х дет./час
время  работы   -  60/х   ч.

Ученик:
производительность  - (х-3) дет/час
время работы  - 60/(х-3)   ч.
Мастер работает на 1 час меньше , чем ученик. ⇒
Уравнение.
60/(х-3)   -  60/х = 1
60х - 60(х-3)= 1*х(х-3)
60х  -60х+180= х²-3х
х²-3х-180=0
D= (-3)² -  4*1*(-180) =9+ 720=729
D>0  два корня уравнения , √D=27
х₁= (3-27)/2 = -24/2  =-12  - не удовл. условию задачи
х₂= (3+27)/2 = 30/2 = 15   дет./час  -  мастер
проверим:
15-3=12  дет./час  - ученик
60/12  - 60/15 = 5- 4=1 час - разница

ответ:  15 деталей в час  изготавливает мастер.
4,7(8 оценок)
Ответ:
577656
577656
05.12.2021
ответ получается 15 Две целые одну седьмую и три целые четыре седьмые переводим в обычкую дробь два умножаем на семь и плюсуем один и три умножаем на семь и плюсуем чемыре получается 15/7 и 25/7 знаменатели оставляем тот же. Когда мы делем мы второе число переворачиваем вот так 7/25 потом 7 и 7 зачеркиваем получается один потом 25 и 15 зачеркиваем они не одинаковы что делать их можно разделить на одно и тоже число возмем число 5 поверяем делятся они или нет 25:5=5 а 15:5=3 делятся теперь 5*1*3*1=15 вот так:);)
4,5(77 оценок)
Это интересно:
Новые ответы от MOGZ: Математика
logo
Вход Регистрация
Что ты хочешь узнать?
Спроси Mozg
Открыть лучший ответ