М
Молодежь
К
Компьютеры-и-электроника
Д
Дом-и-сад
С
Стиль-и-уход-за-собой
П
Праздники-и-традиции
Т
Транспорт
П
Путешествия
С
Семейная-жизнь
Ф
Философия-и-религия
Б
Без категории
М
Мир-работы
Х
Хобби-и-рукоделие
И
Искусство-и-развлечения
В
Взаимоотношения
З
Здоровье
К
Кулинария-и-гостеприимство
Ф
Финансы-и-бизнес
П
Питомцы-и-животные
О
Образование
О
Образование-и-коммуникации
BarsegyanDiana70
BarsegyanDiana70
28.07.2020 17:37 •  Математика

Средняя линия трапеции равна 8 см и делит площадь в отношении 2: 3.длины оснований трапеции чему равны?

👇
Ответ:
konovalov201
konovalov201
28.07.2020
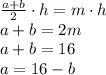
Пусть основание ВС = b, AD=a
S=m\cdot h, где m - средняя линия трапеции
\frac{a+b}{2} \cdot h=m\cdot h \\ a+b=2m \\ a+b=16 \\ a=16-b

S_{BCKM}= \frac{(16-b+8)h}{2} = \frac{(24-b)h}{2}
S_{AKMD}= \frac{(b+8)h}{2}

По условию: S_{KBCM}:S_{AKMD}=2:3

3(24-b)=2(b+8) \\ 72-3b=2b+16 \\ -5b=56 \\ b=11.2 см
a=16-11.2=4.8 см
4,6(47 оценок)
Открыть все ответы
Ответ:
Gergoo
Gergoo
28.07.2020

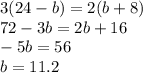
                 *  324

                   328

                + 2592

                 +648

                 972

               106272                  

Пошаговое объяснение:

с начало мы умножаем: 8 на все  цифры данные нам выше, потом умножаем 2, а потом тоже самое делаем с 3, с каждой цифры мы получаем свой ответ, первый ответ 2592 вписываем потом на одну цифру дальше то есть начало происходит не от 2, а от 9, и так с каждой цифрой потом всё прибавляем и та дам ответ. (если непонятно извиняюсь я не очень хороший учитель)

4,4(23 оценок)
Ответ:
NAstiu1
NAstiu1
28.07.2020

 •  Обыск осуществляется следователем ,который принимает решение о выполнении какого-либо действия. Следователь должен все расчитать , вплоть до мелочей.

 • Чтобы произвести обыск следователь должен: собрать всю, необходимую следствию , информацию, спланировать действий при обыске, распределить обязаннасти каждого участника обыска. рассмотреть все возможные варианты поведения обыскиваемого, наличие огнестрельного оружия, использование специального оборудования ...

 • Р.С. Белкин выделяет три основные категории сбора информации: о личности обыскиваемого и всех окружающих его лицах, об искомых объектах и о месте обыска. 

 - Сбор информации о личности обыскиваемого. От следователя требуется узнать:  ФИО, год рождения, семейное положение, образование, профессия, место работы, судимость и состояние здоровья, умственные качества подозреваемого...

В случяе отказа в обыске со стороны обыскиваемого, следователь будет строить тактику принудительного обыска.

 - Сбор информации о искомых объектах: включает в себя детальное изучение месности , всех запасных выходов, и других подобных объектах. Производится с целью разузнать наиболее вероятные места, в которых можно спрятать искомый объект.  

Сбор такой информации следователь может найти через следующии источники: доприс сведетелей , снятие следов с места происшествия , показания самого потерпевшего и др. 

 - Сбор информации о месте обыска:нужно собрать сведения не только об месте проживания обыскиваемого ,но и об других возможных помещениях, которые могут послужить как укрытием от следствия.

  • А также у следователя должны присутствовать все необходимые, в данном случае, инструменты для проведения обыска. 

4,6(46 оценок)
logo
Вход Регистрация
Что ты хочешь узнать?
Спроси Mozg
Открыть лучший ответ