М
Молодежь
К
Компьютеры-и-электроника
Д
Дом-и-сад
С
Стиль-и-уход-за-собой
П
Праздники-и-традиции
Т
Транспорт
П
Путешествия
С
Семейная-жизнь
Ф
Философия-и-религия
Б
Без категории
М
Мир-работы
Х
Хобби-и-рукоделие
И
Искусство-и-развлечения
В
Взаимоотношения
З
Здоровье
К
Кулинария-и-гостеприимство
Ф
Финансы-и-бизнес
П
Питомцы-и-животные
О
Образование
О
Образование-и-коммуникации
kristinasotsen
kristinasotsen
28.10.2022 00:57 •  Математика

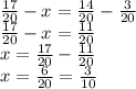
Решите уравнение, 17/20-x=14/20-3/20

👇
Ответ:
Ука12345
Ука12345
28.10.2022
\frac{17}{20} -x= \frac{14}{20} - \frac{3}{20} \\ \frac{17}{20} -x= \frac{11}{20} \\ x= \frac{17}{20} - \frac{11}{20} \\ x= \frac{6}{20} = \frac{3}{10}
4,7(76 оценок)
Открыть все ответы
Ответ:
verayusupova86
verayusupova86
28.10.2022
Все специалисты сходятся во мнении, что детская комната должна быть эстетичной, функциональной, экологичной и безопасной. Рекомендуется оборудовать детскую в просторном помещении, окна которого выходят на солнечную сторону. Большое количество солнечного света является благоприятным для зрения и накоплению позитива. Нежелательно, чтобы окна детской выходили на запад, так как это создаст неестественный световой режим: днем в комнате ребенка будут сумерки, а вечером – яркое солнце. 

Составляя дизайн-проект, нужно продумать зонирования помещения. В комнате малыша-дошкольника должны выделяться зоны сна и игр. По мере взросления ребенка появляются новые зоны (отдыха, учебных занятий). Чтобы не менять дизайн детской каждые 2-3 года, лучше сразу, при первичном оборудовании комнаты, выделить все необходимые зоны. 

Зонирование пространства осуществляется с мебели, перегородок, различных конструкций, текстиля, комбинирования материалов. Так, например, игровую зону можно отделить, создав в комнате небольшой полукруглый подиум. На этом подиуме ребенок будет играть и принимать гостей. Планируя расположение игровой зоны, нужно учесть, что мальчики предпочитают играть ближе к центру комнаты, а девочки любят играть в углах.

Предпочтительнее использовать натуральные материалы, которые при необходимости можно подвергать чистке, в том числе влажной. Полы в детской должны быть теплыми, экологичными и практичными. Оптимальный вариант – пробковый паркет. Такие полы обеспечивают отличную звукоизоляцию и смягчают удар при падении. Менее дорогая альтернатива – деревянный паркет или ламинат. Медики не рекомендуют покрывать пол детской комнаты ковролином. Исключение составляет только игровая зона – дети часто играют сидя, поэтому полы здесь должны быть мягкими и теплыми. Не стоит оклеивать стены обоями с рифленым рисунком, так как на них будет скапливаться пыль. Лучше использовать гладкие бумажные обои, краску или стеновые панели из пробки. Для детской подойдут натяжные потолки из ПВХ полотна, которое можно подвергать влажной чистке. Для создания оригинального многоуровневого подвесного потолка рекомендуют экологичный гипсокартон, окрашенный моющейся краской. Минимальный набор мебели для комнаты ребенка любого возраста (за исключением комнаты для новорожденного) составляют кровать, стол, комод, полки или стеллаж. Если площадь помещения позволяет, дизайнеры и психологи рекомендуют включить в планировку комнаты и зону отдыха, оборудовав ее журнальным столиком и диваном или креслами. В детской комнате должно быть не менее трех источников света, расположенных на разных уровнях. Можно полностью отказаться от люстр и подсветок, вмонтированных в потолок, в пользу настенного освещения. Верхний уровень – светильники на стене под потолком, расположенные по всему периметру комнаты. Второй уровень – светильники, вмонтированные в мебель, и бра в игровой зоне. Нижний уровень – настольные, напольные и прикроватные светильники, а также торшеры. Такое трехуровневое освещение считается оптимальным для детской комнаты. В комнате ребенка старше 2-3 лет рекомендуется повесить зеркало, в котором малыш сможет видеть себя во весь рост. В детской необходимы интерьерные часы – настольные или настенные. Малышу можно приобрести часы-игрушку.
4,5(4 оценок)
Ответ:
arakelyankrist
arakelyankrist
28.10.2022

ответНачальные данные: велосипедист двигался равномерно; S1 (начальный путь) = 40 м; t1 (начальное время движения) = 4 с; t2 (общее время движения) = 20 с.

Начальные данные: велосипедист двигался равномерно; S1 (начальный путь) = 40 м; t1 (начальное время движения) = 4 с; t2 (общее время движения) = 20 с.Путь, который проделает велосипедист, определим по формуле: S2 = V * t2 = (S1 / t1) * t2.

Начальные данные: велосипедист двигался равномерно; S1 (начальный путь) = 40 м; t1 (начальное время движения) = 4 с; t2 (общее время движения) = 20 с.Путь, который проделает велосипедист, определим по формуле: S2 = V * t2 = (S1 / t1) * t2.Вычисление: S2 = (40 / 4) * 20 = 200 м.

Начальные данные: велосипедист двигался равномерно; S1 (начальный путь) = 40 м; t1 (начальное время движения) = 4 с; t2 (общее время движения) = 20 с.Путь, который проделает велосипедист, определим по формуле: S2 = V * t2 = (S1 / t1) * t2.Вычисление: S2 = (40 / 4) * 20 = 200 м.ответ: При постоянной скорости движения велосипедист за 20 секунд проедет 200 метров.

4,6(70 оценок)
Это интересно:
Новые ответы от MOGZ: Математика
logo
Вход Регистрация
Что ты хочешь узнать?
Спроси Mozg
Открыть лучший ответ