М
Молодежь
К
Компьютеры-и-электроника
Д
Дом-и-сад
С
Стиль-и-уход-за-собой
П
Праздники-и-традиции
Т
Транспорт
П
Путешествия
С
Семейная-жизнь
Ф
Философия-и-религия
Б
Без категории
М
Мир-работы
Х
Хобби-и-рукоделие
И
Искусство-и-развлечения
В
Взаимоотношения
З
Здоровье
К
Кулинария-и-гостеприимство
Ф
Финансы-и-бизнес
П
Питомцы-и-животные
О
Образование
О
Образование-и-коммуникации
mrdilik
mrdilik
25.08.2021 14:52 •  Математика

Какими могут быть длины сторон прямоугольника, периметр которого 26 см,а площадь - 40 см2

👇
Ответ:
sweetdog7
sweetdog7
25.08.2021
Х и у - стороны прямоугольника

периметр: 
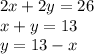
2x+2y=26 \\ x+y=13 \\ y=13-x
площадь: 
xy=40 \\x(13-x)=40 \\ -x^2+13x-40=0 \\ x_{12}= \frac{-13+- \sqrt{169-4(-1)(-40)} }{-2} \\ x_{12}= \frac{-13+- \sqrt{169-160} }{-2} \\ x_{12}= \frac{-13+- \sqrt{9} }{-2} \\ x_{12}= \frac{-13+-3 }{-2} \\ x_{1}= \frac{-13+3 }{-2}=5 \\ x_{1}= \frac{-10 }{-2}=5\\ y=13-5=8
Проверка: 5*8=40
Теперь возьмём 
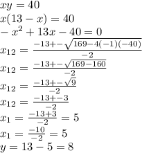
x_{12}= \frac{-13-3 }{-2} \\ x_{1}= \frac{-16 }{-2}=8 \\ y=13-8=5
Проверка: 5*8=40

Длины сторон прямоугольника: 5 см и 8 см 
 
4,8(98 оценок)
Открыть все ответы
Ответ:
DimaIvanov56234
DimaIvanov56234
25.08.2021
Если я правильно предполагаю, то для начала переведём дроби в десятичные, чтобы было легче сравнить.
1) 3\50 умножаем на 2 и получаем(при этом дробь не изменится):6\100=0,06
2) 11\100=0,11
3)3\250 умножаем на 4, получаем: 12\1000(сделали для того, чтобы можно было перевести в десятичную дробь), а теперь у нас получается: 12\1000 = 0.012( если вас затрудняет моё решение, то можно сделать так: 12\1000 сокращаем на 10, получаем: 1.2\100( как в остальных случаях) и у нас выходит 0,012)

Теперь сравниваем. 
0,11 > 0,06 и 0.11 > 0.012, отсюда следует, что Марс имеет большую массу. 
4,4(5 оценок)
Ответ:
Андрюша1789
Андрюша1789
25.08.2021
Мин Кырлайдан ерак булмаган, табигатьнең сихри почмагына урнашкан кечкенә генә бер  авылда тудым.  Сабый чагымда челтерәп аккан чишмә чыңлавын да, талларга кунып сайраган сандугач тавышын да ишеттем, йолдызлы күкне, тулган айны күреп сокландым. Безнең авылның табигате искиткеч матур. Мин, капка төбебезгә чыгу белән, үземне яшел хәтфә җәелгән җиргә баскан кебек хис итәм. Бәбкә үләннәре, вак ромашкалар, сары чәчәкләр үзләре үк мине бер сихри дөньяга алып кереп китәләр. Үзем яшел чирәмнән атлыйм, күзләрем тирә-якны күзәтә. Әнә якында гына бормаланып инеш ага. Җәй көннәрендә анда каз-үрдәк тавышлары ишетелә.
    Инеш буенда өянкеләр үсә. Алар яз көне аксыл-яшел төскә керәләр, җәй башында яшел яфракларга төренеп, авылга ямь бирәләр, кичләрен кошларның матур тавышлары бөтен су буен җанландыра. Кичке сабантуй да инеш буенда уза. Яшьләрнең шат җырлары, уеннары белән су буе гөрләп тора.
4,5(1 оценок)
Новые ответы от MOGZ: Математика
logo
Вход Регистрация
Что ты хочешь узнать?
Спроси Mozg
Открыть лучший ответ