М
Молодежь
К
Компьютеры-и-электроника
Д
Дом-и-сад
С
Стиль-и-уход-за-собой
П
Праздники-и-традиции
Т
Транспорт
П
Путешествия
С
Семейная-жизнь
Ф
Философия-и-религия
Б
Без категории
М
Мир-работы
Х
Хобби-и-рукоделие
И
Искусство-и-развлечения
В
Взаимоотношения
З
Здоровье
К
Кулинария-и-гостеприимство
Ф
Финансы-и-бизнес
П
Питомцы-и-животные
О
Образование
О
Образование-и-коммуникации
annachebotarevа
annachebotarevа
11.11.2021 22:36 •  Математика

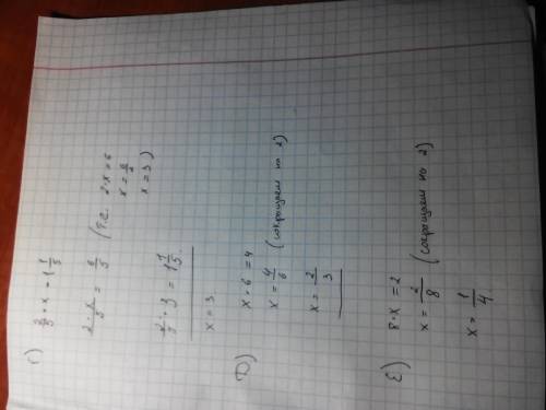
Найдите неизвестное число г)2/5 * х = 1 1/5 д)х * 6 = 4 е)8 * х = 2

👇
Ответ:
nazarovradion
nazarovradion
11.11.2021
Е)8х=2
   х=0,25
д)6х=4
   х=4/6=2/3
4,7(54 оценок)
Ответ:
dmitry113114
dmitry113114
11.11.2021
Надеюсь, всё будет понятно)
Найдите неизвестное число г)2/5 * х = 1 1/5 д)х * 6 = 4 е)8 * х = 2
4,7(43 оценок)
Открыть все ответы
Ответ:
Alexandr2K17
Alexandr2K17
11.11.2021
24 мая ребята Воскресной школы храма Симеона Столпника за Яузой побывали на экскурсии в Музее Русской Иконы. Вместе с учителями и родителями дети окунулись в удивительный мир искусства и познакомились с необычными экспонатами.

Об истории создания музея и его коллекции ребятам рассказывала Ольга Андреевна – экскурсовод, сумевшая в простой и доступной форме изложить особенности православного искусства. Узнали ребята много нового и об иконописи. Побывали в настоящей иконописной мастерской, видели, из чего делают краски, выслушали рассказ о процессе иконописи. Ребята уверенно отвечали экскурсоводу и задавали многочисленные вопросы о назначении различных предметов. Очень понравилась ребятам избушка старообрядцев, в которой они увидели необычное складное кадило, старинные книги. В музее ребята смогли узнать, как устроен алтарь, увидеть старинное Евангелие, изданное еще при Екатерине II. Много вопросов возникло у ребят, когда им сказали, что написана книга была не на бумаге, а на пергамене, кто-то из ребят, даже догадался, откуда пошло известное выражение «книжный червь».Побывали ребята в зале эфиопской христианской культуры, где выяснили, чем отличаются кресты, почему эфиопские священники используют на богослужении зонтик, что такое филигранная работа и многое другое. 

Музей очень понравился ребятам своей теплой домашней обстановкой и доброжелательным отношением сотрудников.
4,7(17 оценок)
Ответ:
angelina3404
angelina3404
11.11.2021
1) на два не делится, потому что нет четных множителей, значит на два не делится.
2)На три делится, потому что один множитель, то есть 111 делится на три, ибо его цифры в сумме дают число 3, которое делится на 3.
3)Делится на 5, ибо число 65 заканчивается на 5, значит на 5 делится, а если хотябы один множитель делится на данное число, то произведение тоже.
4)Число 477 делится на 9, потому что его цифры в сумме дают 18, а это число на 9 делится, следовательно все произведение тоже будет кратно девяти.
5) на 10 делиться не будет, потому что ни один из множителей на ноль не оканчивается.
4,7(70 оценок)
Это интересно:
Новые ответы от MOGZ: Математика
Полный доступ к MOGZ
Живи умнее Безлимитный доступ к MOGZ Оформи подписку
logo
Вход Регистрация
Что ты хочешь узнать?
Спроси Mozg
Открыть лучший ответ