М
Молодежь
К
Компьютеры-и-электроника
Д
Дом-и-сад
С
Стиль-и-уход-за-собой
П
Праздники-и-традиции
Т
Транспорт
П
Путешествия
С
Семейная-жизнь
Ф
Философия-и-религия
Б
Без категории
М
Мир-работы
Х
Хобби-и-рукоделие
И
Искусство-и-развлечения
В
Взаимоотношения
З
Здоровье
К
Кулинария-и-гостеприимство
Ф
Финансы-и-бизнес
П
Питомцы-и-животные
О
Образование
О
Образование-и-коммуникации
TOPTopTOP1vvv
TOPTopTOP1vvv
14.11.2021 23:37 •  Математика

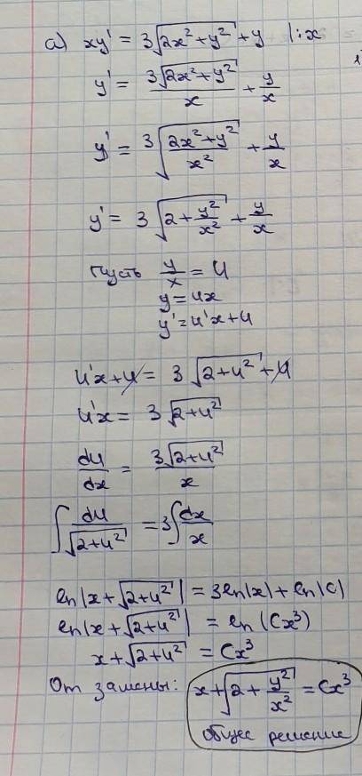
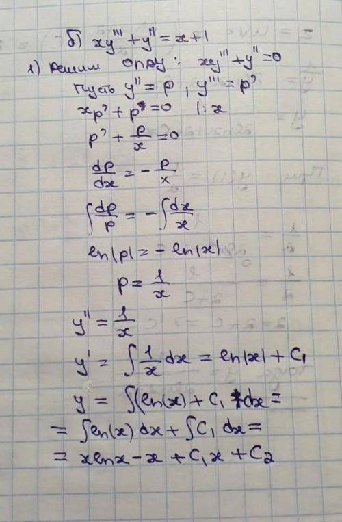
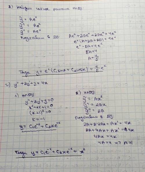
Общие решения дифференциальных уравнений

👇
Ответ:

решение на фотографиях


Общие решения дифференциальных уравнений
Общие решения дифференциальных уравнений
Общие решения дифференциальных уравнений
Общие решения дифференциальных уравнений
4,6(32 оценок)
Открыть все ответы
Ответ:
DENZYSUPER
DENZYSUPER
14.11.2021
Крапива  Крапива входит в состав многих аптечных сборов. Растение очень сильно сгущает кровь – ее свертываемость значительно повышается. Зато данное свойство этой жгучей травки широко применяется при необходимости остановить кровотечение. Используют ее и при лечении гноящихся ран и язвочек (их посыпают порошком из листиков крапивы, высушен-ных на солнце) – растение об-ладает превосходными бактери-цидными качествами. В ней так много витаминов (A, С, K, B1, B2, B3) и всевозможных микроэлементов (медь, железо, кальций), что одно лишь это растение значительно восполнить суточную потребность человеческого организма в них. Чай с крапивой обладает общеукрепляющими и мочегонными свойствами. Также применяют чай с крапивой как слабительное средство. Ведь в походе часто случаются запоры из-за перенесенных организмом стрессов, а именно: смены обстановки, без режимного питания, неудобств с принятием туалета, отсутствием условий для ухода за собой. Крапива против отеков, особенно если человек переносит долгие дневные переходы. При крапивы можно укрепить сердце. Листья крапивы обладают крово-останавливающим действием и заживлению ран. Прикладывают к ране свежие измельчённые листья. Подорожник  В листьях подорожника содержится каротин, витамины С и К, лимонная кислота, фитонциды, ферменты, гликозид аукубин, горькие и дубильные вещества. Подорожник используются как мочегонное, потогонное, обезболивающее, противовоспалительное, противоопухолевое, антимикробное и успокаивающее. Сок свежих листьев подорожника эффективен в лечении язвенной болезни желудка и двенадцатиперстной кишки, хронических гастритов. Свежие измельченные листья подо-рожника применяются при ранениях, ушибах, ожогах, укусах насекомых как кровоостанавливающее средство. •Измельченные до сока листья подорожника прикладывают на пораженное место, меняя повязку через 2—3 часа; •Укусы пчел, ос, шмелей и даже гадюк – сок подорожника снимет боль и предотвратит отеки.  Полынь  жаропонижающее, противосудорожное, противовоспалительное, болеутоляющее, желчегонное, ранозаживляющее средство. Она нормализует давление, послабляет, оказывает снотворное действие также полынь от глистов. Полынь горькая--столовая ложка сухой на стакан воды, если свежая-в 2 раза больше, берутся цветущие макушки, если их нет, то любые части. Доводится до кипения, настаивается немного. Горькая полынь от укуса скорпиона, землеройки и отравления болиголовом (если ее пить с вином), а также от отравления грибами. Опрыскивание горькой полынью отгоняет мошек. Берите только горькую полынь, потому как встречается типы полыней, которые ядовиты.
4,5(13 оценок)
Ответ:
nataone7
nataone7
14.11.2021
1) 7,3605 ≈ 7,4; 
0,9421 ≈ 0,9; 
3,1502 ≈ 3,2; 
12,0374 ≈ 12; 
9,5601 ≈ 9,6; 

2) 0,67509 ≈ 0,68; 
4,0376 ≈ 4,04; 
19,6201 ≈ 19,62; 
3,4057 ≈ 3,41; 
6,4817 ≈ 6,48; 

3) 0,67509 ≈ 0,675; 
4,23265 ≈ 4,233; 
8,98605 ≈ 8,986; 
29,48075 ≈ 29,481.

Обрати внимание, что знак '≈' читается не "равно", а "примерно равно". Кстати, насчёт округления. Если тебе надо округлить число до десятых (работая с десятичными дробями, естественно), то ты смотришь на число, идущее после него: если число больше 5 включительно, то ты к этому числу прибавляешь 1; если число меньше 4 включительно, то ты ничего не делаешь, оставляешь всё как есть. Например, тебе надо округлить число 0,568 до десятых. Ты видишь, что число, идущее после "десятых", равно 6, значит, к "десятым (пятёрке)" ты прибавляешь 1 и уже после округления ты получаешь число 0,6. 
4,4(62 оценок)
Это интересно:
Новые ответы от MOGZ: Математика
logo
Вход Регистрация
Что ты хочешь узнать?
Спроси Mozg
Открыть лучший ответ