М
Молодежь
К
Компьютеры-и-электроника
Д
Дом-и-сад
С
Стиль-и-уход-за-собой
П
Праздники-и-традиции
Т
Транспорт
П
Путешествия
С
Семейная-жизнь
Ф
Философия-и-религия
Б
Без категории
М
Мир-работы
Х
Хобби-и-рукоделие
И
Искусство-и-развлечения
В
Взаимоотношения
З
Здоровье
К
Кулинария-и-гостеприимство
Ф
Финансы-и-бизнес
П
Питомцы-и-животные
О
Образование
О
Образование-и-коммуникации
lyubimova84
lyubimova84
17.08.2021 20:23 •  Математика

Найдите : f '(0) ответ должен получиться : нуль

👇
Ответ:
kirill163aye
kirill163aye
17.08.2021
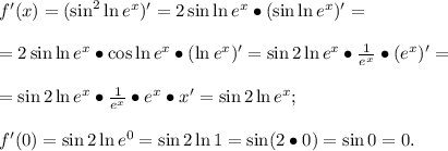
f'(x)=(\sin^2\ln e^x)'=2\sin\ln e^x\bullet(\sin\ln e^x)'=\\\\=2\sin\ln e^x\bullet\cos\ln e^x\bullet(\ln e^x)'=\sin2\ln e^x\bullet\frac{1}{e^x}\bullet (e^x)'=\\\\=\sin2\ln e^x\bullet\frac{1}{e^x}\bullet e^x\bullet x'=\sin2\ln e^x;\\\\f'(0)=\sin2\ln e^0=\sin2\ln1=\sin(2\bullet0)=\sin0=0.
4,4(93 оценок)
Открыть все ответы
Ответ:

8 бутербродов

Пошаговое объяснение:

Если известно, что за каждую минуту съедают один бутерброт, то за 5 минут, должны съесть все по 5 бутербродов, следовательно должно остаться : 15-5= 10.

Дядя Фёдор съел 8 бутербродов, значит его сосед четвёртый человек, который ест с чужой тарелки, у Дяди Фёдора он съел 8-5= 3 бутерброда. Значит у другого соседа четвёртый должен съесть: 5-3= 2 бутерброда. Если предположить, что этим соседом является Кот Матроскин, то у кота на тарелки останется: 15-5-2= 8 бутербродов. Это будет минимальное число.

Пошаговое объяснение:

4,5(97 оценок)
Ответ:
ирок511
ирок511
17.08.2021

Пошаговое объяснение:

Обозначим центр окружности т О. Рассмотрим треугольник АОВ. Он прямоугольный, катет 4 и второй катет 4, найдём гипотенузу 4 корня из 2. Найдём расстояние от центра до хорды. Из точки О опустим перпендикуляр на АВ. Пусть это ОР. Треугольник АРО - равнобедренный, т. к. углы при основании по 45 градусов. Значит АР=ОР=2 корня из 2.

2. Так как дан прямоугольник, то противоположные стороны параллельны. МN проходит через середину стороны треугольника и параллельна АС - это средняя линия. В трапеции высота равна АЕ=3 МN=1/2 АВ=5. Вычислим площадь S=( MN+AC)*AE/2=22.5. Найдём площадь треугольника АВС S=CA/2*H. Найдём Н.Из треугольника АЕМ по теореме Пифагора найдём АМ=Корню квадратному из 9+6,25=15,25 АВ=корню из 61. Если будем считать треугольник АВС равнобедренным, тогда найдём Н по теореме Пифагора: Н= корню квадратному из 36. Н=6. Найдём площадь S=10*6/2=30.

4,4(29 оценок)
Это интересно:
Новые ответы от MOGZ: Математика
logo
Вход Регистрация
Что ты хочешь узнать?
Спроси Mozg
Открыть лучший ответ