М
Молодежь
К
Компьютеры-и-электроника
Д
Дом-и-сад
С
Стиль-и-уход-за-собой
П
Праздники-и-традиции
Т
Транспорт
П
Путешествия
С
Семейная-жизнь
Ф
Философия-и-религия
Б
Без категории
М
Мир-работы
Х
Хобби-и-рукоделие
И
Искусство-и-развлечения
В
Взаимоотношения
З
Здоровье
К
Кулинария-и-гостеприимство
Ф
Финансы-и-бизнес
П
Питомцы-и-животные
О
Образование
О
Образование-и-коммуникации
Dinara55
Dinara55
25.02.2021 17:31 •  Математика

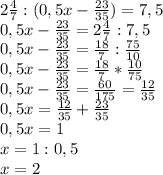
Решите уравнение 2 4/7: (0,5x-23/35)=7,5

👇
Ответ:
nastyapuhova1
nastyapuhova1
25.02.2021
2 \frac{4}{7} :(0,5x- \frac{23}{35} )=7,5 \\ 0,5x- \frac{23}{35} =2 \frac{4}{7} :7,5 \\ 0,5x- \frac{23}{35}= \frac{18}{7} : \frac{75}{10} \\ 0,5x- \frac{23}{35}= \frac{18}{7}* \frac{10}{75} \\ 0,5x- \frac{23}{35}= \frac{60}{175} = \frac{12}{35} \\ 0,5x= \frac{12}{35} + \frac{23}{35} \\ 0,5x=1 \\ x=1:0,5 \\ x=2
4,4(38 оценок)
Открыть все ответы
Ответ:
Поскольку общее количество чисел менее или равно максимального синего числа равно самому синему числу.То поскольку синих оказывается столько ,каково максимальное число,то число всех чисел менее или равные максимального синего равно числу всех синих чисел менее или равных максимального синего.А это значит что синие числа ,это все числа идущие подряд от одного до синего максимального тк числа не повторяются. Пусть синих чисел x,то красных 2015-x. Поскольку сначало идут по порядку все синие числа,потом красные. Поэтому тк максимальное синие равно x,то минимальное красное равно x+1.Таким образом. 2015-x=2*(x+1) 3x=2013 x=671 синих чисел, А красных 2015-671=1344. ответ: 1344 красных чисел.
4,4(42 оценок)
Ответ:
rashantixaip
rashantixaip
25.02.2021
1) Уточни условие
2) 4.5а=8.5в тогда а=17/9 в
17/9в-в=72   8/9в=72  в = 81  а=153
ответ: 153 и 81
3) Нина собрала х, Ира 0.75х, Наташа 1.1х Вместе они собрали 2.85х=85.5
х=30 кг Нина, Ира 0.75*30=22.5 кг, Наташа 1.1*30=33 кг
4) Пусть х пройденный путь
тогда 2/3х*3.5=7/3х оставшийся путь
х+7/3х=60  10/3 х=60  х=18 км Оставшийся путь 60-18=42км
5) Пусть х - вспаханная часть 0.8х*2.5=2х - оставшаяся часть
х+2х=240 3х=240 х=80га в два дня 80:2=40 га в день 240:40=6 дней
6) 12500*35*0.9*(1-0.4)=236250 центнеров хлеба
4,5(22 оценок)
Это интересно:
Новые ответы от MOGZ: Математика
logo
Вход Регистрация
Что ты хочешь узнать?
Спроси Mozg
Открыть лучший ответ