М
Молодежь
К
Компьютеры-и-электроника
Д
Дом-и-сад
С
Стиль-и-уход-за-собой
П
Праздники-и-традиции
Т
Транспорт
П
Путешествия
С
Семейная-жизнь
Ф
Философия-и-религия
Б
Без категории
М
Мир-работы
Х
Хобби-и-рукоделие
И
Искусство-и-развлечения
В
Взаимоотношения
З
Здоровье
К
Кулинария-и-гостеприимство
Ф
Финансы-и-бизнес
П
Питомцы-и-животные
О
Образование
О
Образование-и-коммуникации
Anfisac3t
Anfisac3t
28.05.2021 12:50 •  Математика

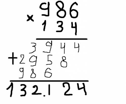
Как решить пример : 986 умножить на 134 в столбик умоляюю

👇
Ответ:
beyn1oyc4cd
beyn1oyc4cd
28.05.2021
ответ ---------------------
Как решить пример : 986 умножить на 134 в столбик умоляюю
4,8(53 оценок)
Ответ:
annaaverina
annaaverina
28.05.2021
ответ: 986 * 134 = 132.124

Решение столбиком в файле...
Как решить пример : 986 умножить на 134 в столбик умоляюю
4,4(19 оценок)
Открыть все ответы
Ответ:
PapayaS
PapayaS
28.05.2021
Истори́ческие исто́чники — весь комплекс документов и предметов материальной культуры, непосредственно отразивших исторический процесс и запечатлевших отдельные факты, и свершившиеся события, на основании которых воссоздается представление о той или иной исторической эпохе, выдвигаются гипотезы о причинах или последствиях, повлекших за собой те или иные исторические события
Существует несколько классификации исторических источников.

Исторические источники подразделяются на семь групп: письменные, вещественные, этнографические, устные, лингвистические, фотодокументы, фонодокументы. Например, письменные источники включают летописи, законодательные акты, материалы делопроизводства, протоколы, договоры, дневники, мемуары, переписки, а вещественные: картины, рельефы, изображения на стенах или на любой другой поверхности и др.

Исторические источники также можно разделить на внутренние (то есть созданные внутри исследуемого региона) и внешние (когда описание создается людьми, выходящими за пределы данного исторического контекста, как например Арабские источники по истории Африки) . 
4,4(15 оценок)
Ответ:
Sonya22031
Sonya22031
28.05.2021
В современном мире человечество использует в своей деятельности новые технологии. Такие как телефон, интернет, бытовая техника и т.д. Все это сделано для удобства, для того, чтоб человек мог сэкономить время, быстро и эффективно запомнить необходимые сведения или выполнить какие-то действия. Все это значительно облегчает жизнь и это, безусловно, является большим плюсом. Но вместе с тем, люди стали зависимы от использования Интернета. Они перестали заниматься физическим трудом, поскольку основую часть работы за них делают технологии. Если нужно выполнить работу по дому - все делает техника. Если нужно запомнить информацию - все делает техника. Человек уже не может представить, что бы он делал без Интернета, где в любое время он может найти полезные для себя источники... Дальше сам(а)
4,6(26 оценок)
Новые ответы от MOGZ: Математика
logo
Вход Регистрация
Что ты хочешь узнать?
Спроси Mozg
Открыть лучший ответ