М
Молодежь
К
Компьютеры-и-электроника
Д
Дом-и-сад
С
Стиль-и-уход-за-собой
П
Праздники-и-традиции
Т
Транспорт
П
Путешествия
С
Семейная-жизнь
Ф
Философия-и-религия
Б
Без категории
М
Мир-работы
Х
Хобби-и-рукоделие
И
Искусство-и-развлечения
В
Взаимоотношения
З
Здоровье
К
Кулинария-и-гостеприимство
Ф
Финансы-и-бизнес
П
Питомцы-и-животные
О
Образование
О
Образование-и-коммуникации
dashavorobeva2
dashavorobeva2
27.02.2020 06:20 •  Математика

Вiдстань мiж селами дорiвнюе 149.8км.одночасно в одному напрямку виiiхали авто i мотоцикл .через 3.5год авто наздогнав мотоцикл .якою була швидкiсть мотоцикла.якщо швидкiсть авто дорiвнювала 75.5км год?

👇
Ответ:
Скорость мотоцикла x км/ч. Скорость сближения (75-x) км/ч.
За 3,5 часа авто сократил расстояние на 149,8 км, т.е.
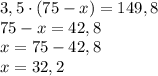
3,5\cdot(75-x)=149,8\\75-x=42,8\\x=75-42,8\\x=32,2
Скорость мотоцикла 32,2 км/ч.
4,5(26 оценок)
Открыть все ответы
Ответ:
Adelka715
Adelka715
27.02.2020
Миңа куркыныч тапшырырга, дип безмятежному бәхетенә аралашу-кеше белән табигать куркыныч янамый. Тагын да куркынычрак нче уйлар, кеше үзе еш кына әверелә куркынычы табигатькә. Чөнки зур зыян башлана кече. Табигать - ул матурлык безнең Җир. Ул безгә ризык, кислород, ә урман - агач. Табигатьне сакларга кирәк, ә без, киресенчә уничтожаем аны. Беренчедән, кешеләр өчен ел срубают артык ике миллион агач, шулай булсын үскән бер агач, кирәк көтәргә егерме кадәр илле яшь. Икенчедән, еш кына без разводим костры. Шуның аркасында еш кына янгыннар килеп чыга. Үлә миллионлаган үсемлекләр. Өченчедән, янгын вакытында хайваннар китәргә туры килә. Аннары кешеләр вкладывают миллионлаган акча фондларына буенча урманнарны саклау һәм торгызу флора һәм фауна. Мне страшно представить, что безмятежному счастью общения человека с природой угрожает опасность. Еще страшнее от мысли, что человек сам часто становится угрозой природе. Ведь большой урон начинается с малого. Природа - это краса нашей Земли. Она дает нам пищу, кислород, а леса - древесину. Природу нужно беречь, а мы наоборот уничтожаем ее. Во-первых, люди за год срубают более двух миллионов деревьев, а, чтобы выросло одно дерево, нужно ждать от двадцати до пятидесяти лет. Во-вторых, нередко мы разводим костры. Из-за этого часто случаются пожары. Погибают миллионы растений. В-третьих, во время пожара животным приходится уходить. Потом люди вкладывают миллионы денег в фонды по защите лесов и восстановлению флоры и фауны.
4,6(98 оценок)
Ответ:
katrina7
katrina7
27.02.2020
2/9+3/4-3/5 = (найдем общий знаменатель, который делится на 9, 4 и 5 - это число 180) делим 180 на9 - дополнительный множитель для 2 - 20. 180:4 - дополнительный множитель для 3 - 45. и делим 180 на 5 получаем дополнительный множительдля 3 - 36
(2*20)\180+(3*45)\180 - (3*36)\180 = 40\180+135\180 - 108\180 = (40+135-108)\180 = 67\180

4/9-3/10+1/2 = (4*10)\90 - (3*9)\90 = (1*45)\90 = (40-27+45)\90 = 58\90 = 29\45  17/60-19/80+3/4  = (17*4)\240 - (19*3)\240 + (3*60)\240 = (68 - 57 = 180)\240 = 191\240
4,6(69 оценок)
Это интересно:
Новые ответы от MOGZ: Математика
logo
Вход Регистрация
Что ты хочешь узнать?
Спроси Mozg
Открыть лучший ответ