М
Молодежь
К
Компьютеры-и-электроника
Д
Дом-и-сад
С
Стиль-и-уход-за-собой
П
Праздники-и-традиции
Т
Транспорт
П
Путешествия
С
Семейная-жизнь
Ф
Философия-и-религия
Б
Без категории
М
Мир-работы
Х
Хобби-и-рукоделие
И
Искусство-и-развлечения
В
Взаимоотношения
З
Здоровье
К
Кулинария-и-гостеприимство
Ф
Финансы-и-бизнес
П
Питомцы-и-животные
О
Образование
О
Образование-и-коммуникации
Oksanaa11
Oksanaa11
19.03.2021 06:06 •  Математика

По формуле у=-1\3х+2 определи х а)определи х ,если у=0,3,1\3,-9

👇
Ответ:
Zeerorrrrrr
Zeerorrrrrr
19.03.2021
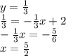
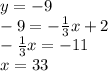
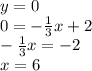
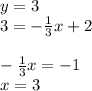
y=- \frac{1}{3} x+2 \\

y=0 \\ 0=- \frac{1}{3} x+2 \\ - \frac{1}{3} x=-2 \\x=6

y=3 \\ 3=- \frac{1}{3} x+2 \\ \\ - \frac{1}{3} x=-1 \\ x=3

y= \frac{1}{3} \\ \frac{1}{3} =- \frac{1}{3} x+2 \\ - \frac{1}{3} x=- \frac{5}{6} \\ x= \frac{5}{2}

y=-9\\ -9=- \frac{1}{3} x+2 \\ - \frac{1}{3} x=-11\\x=33
4,8(61 оценок)
Открыть все ответы
Ответ:
sergeywrest51
sergeywrest51
19.03.2021
Три одинаковых насоса за 15 часов откачали 10800 вёдер водыИсходя из этого, найдем сколько ведер воды качает 3 насоса за 1 час = 10800 / 15 часов=720 ведер

Теперь найдем сколько ведер качает 1 насос за 1 час = 720/3=240 ведер

Поскольку необходимо выяснить сколько нужно насосов чтобы откачать 14400 вёдер воды за 12 часов, то рассчитаем сначала:

количество ведер волы, которое качает 1 насос за 12 часов = 240*12=2880 ведер
,
Теперь вычислим искомое значение:

количество насосов необходимое чтобы откачать 14400 вёдер воды за 12 часов = 14400/2880 = 5 насосов

ответ: нужно 5 насосов чтобы откачать 14400 вёдер воды за 12 часов
4,4(80 оценок)
Ответ:
Пусть  тетрадь стоит х рублей тогда блокнот х+2                                                  уравнение                                                                                                                1)5х=3*(х+2)                                                                                                                  5х-3х=6                                                                                                                    2х=6                                                                                                                             х=6:2                                                                                                                         х=3 руб стоит тетрадь                                                                                            2)3+2 =5руб  стоит блокнот                                                                                   ответ:тетрадь стоит 3 рубля а блокнот 5 рублей 
              
4,7(7 оценок)
Новые ответы от MOGZ: Математика
logo
Вход Регистрация
Что ты хочешь узнать?
Спроси Mozg
Открыть лучший ответ