М
Молодежь
К
Компьютеры-и-электроника
Д
Дом-и-сад
С
Стиль-и-уход-за-собой
П
Праздники-и-традиции
Т
Транспорт
П
Путешествия
С
Семейная-жизнь
Ф
Философия-и-религия
Б
Без категории
М
Мир-работы
Х
Хобби-и-рукоделие
И
Искусство-и-развлечения
В
Взаимоотношения
З
Здоровье
К
Кулинария-и-гостеприимство
Ф
Финансы-и-бизнес
П
Питомцы-и-животные
О
Образование
О
Образование-и-коммуникации
FaceLess111
FaceLess111
16.02.2022 15:51 •  Математика

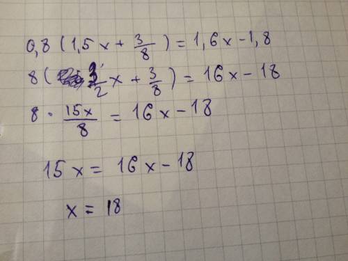
Решить, , у меня ответ получается, но при проверке не сходится 0,8(1,5х+3: 8)=1,6х-1,8

👇
Ответ:
Мур6954
Мур6954
16.02.2022
1.2x+0.3=1.6x-1.8
1.2x-1.6x= - 1.8-0.3
- 0..4x=- 2.1
x= 5.25
Решить, , у меня ответ получается, но при проверке не сходится 0,8(1,5х+3: 8)=1,6х-1,8
4,4(37 оценок)
Ответ:
polozyurayuras
polozyurayuras
16.02.2022
Возможно такой ответ
4,4(34 оценок)
Открыть все ответы
Ответ:
Annaaa63879
Annaaa63879
16.02.2022

678.

Пошаговое объяснение:

Пусть 6 - цифра, стоящая в разряде сотен в первоначальном числе, b - цифра в разряде десятков, а с - цифра в разряде единиц. Само число равно 600 + 10b + c.

После того, как цифру 6 перенесли в конец числа, b становится цифрой в разделе сотен, с - в разряде десятков, 6 - цифрой в разряде единиц. Новое число равно 100b + 10c + 6.

Зная, что новое число на 108 больше первоначального, составим и решим уравнение:

(100b + 10c + 6) - (600 + 10b + c) = 108

90b + 9c - 594 = 108

90b + 9c = 594 + 108

90b + 9c = 702

10b + c = 78

b = 7; c = 8.

Первоначальное число равно 678.

Проверим полученный результат:

786 - 678 = 108, верно.

4,4(91 оценок)
Ответ:
dias83782
dias83782
16.02.2022

ответ: 678.

Давайте  запишем исходное трехзначное число вот так: 600 + x  (так как трехзначное число начиналось с цифры 6, то оно больше, или, в крайнем случае, равно 600, где x - это неизвестное двузначное число, на которое искомое число больше числа 600; в общем, надеюсь, понятно).

А потом получилось число 10x + 6 (x стало в перед числа, и, следовательно, умножилось на 10, а цифра 6 переместилась в конец).

Уравнение:

600 + x + 108  =  10x + 6

708 + x = 10x + 6

708 - 6 = 10x - x

702 = 9x

x = 702 / 9

x = 78.

Значит, искомое число равно 600 + 78 = 678. Ура!

4,6(94 оценок)
Это интересно:
Новые ответы от MOGZ: Математика
logo
Вход Регистрация
Что ты хочешь узнать?
Спроси Mozg
Открыть лучший ответ