М
Молодежь
К
Компьютеры-и-электроника
Д
Дом-и-сад
С
Стиль-и-уход-за-собой
П
Праздники-и-традиции
Т
Транспорт
П
Путешествия
С
Семейная-жизнь
Ф
Философия-и-религия
Б
Без категории
М
Мир-работы
Х
Хобби-и-рукоделие
И
Искусство-и-развлечения
В
Взаимоотношения
З
Здоровье
К
Кулинария-и-гостеприимство
Ф
Финансы-и-бизнес
П
Питомцы-и-животные
О
Образование
О
Образование-и-коммуникации
saaxst
saaxst
26.08.2020 13:08 •  Математика

Решить tg(x -п/4)= корень из 3/3 ( ето нужно через arctg)

👇
Ответ:
RTAKZM
RTAKZM
26.08.2020
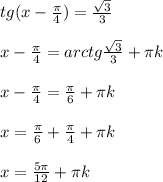
tg(x- \frac{ \pi }{4} )= \frac{ \sqrt{3} }{3} \\ \\ x-\frac{ \pi }{4}=arctg \frac{ \sqrt{3} }{3} + \pi k \\ \\ x-\frac{ \pi }{4}= \frac{ \pi }{6} + \pi k \\ \\ x=\frac{ \pi }{6} +\frac{ \pi }{4} + \pi k \\ \\ x= \frac{5 \pi }{12} + \pi k

ответ: \frac{5 \pi }{12} + \pi k , k ∈ Z
4,6(4 оценок)
Открыть все ответы
Ответ:
Русель
Русель
26.08.2020

Пример из 2018 нулей и чисел 1, –1 удовлетворяет условию.

 Предположим, что количество нулей не больше 2017. Тогда на доске найдутся либо три неотрицательных числа, среди которых хотя бы два строго положительных, либо три неположительных числа, среди которых хотя бы два строго отрицательны. Пусть выполнено первое: числа a и b положительны, а c неотрицательно. Можно считать, что a – наибольшее из всех выписанных чисел. Но тогда число  a + b + c > a  не может быть выписанным. Противоречие.

ответ

2018 нулей.

P.S-как я понел

4,4(87 оценок)
Ответ:
ALEXX111111111
ALEXX111111111
26.08.2020

На столе лежало две пачки тетрадей, известно, что в одной из пачек тетрадей лежало в 2 раза больше. После того как из первой пачки убрали  тетрадей, а во вторую добавили 29 тетрадей, то их количество стало одинаковым. Найти сколько было тетрадей во второй пачке изначально.

Пусть х - лежало изначально в первой пачке, тогда 2х - лежало во второй. По условию задачи после того как из первой стопки убрали 16 тетрадей, а во вторую добавили 29, то их количество стало одинаковым. Составим и решим уравнение:

2х - 16 = х + 29

2х - х = 29 + 16

х = 45

1) 45 (тетрадей) - было в первой пачке

2) 45 × 2 = 90 (тетрадей) - было во второй пачке

ответ: 90 тетрадей

4,8(35 оценок)
Это интересно:
Новые ответы от MOGZ: Математика
logo
Вход Регистрация
Что ты хочешь узнать?
Спроси Mozg
Открыть лучший ответ