М
Молодежь
К
Компьютеры-и-электроника
Д
Дом-и-сад
С
Стиль-и-уход-за-собой
П
Праздники-и-традиции
Т
Транспорт
П
Путешествия
С
Семейная-жизнь
Ф
Философия-и-религия
Б
Без категории
М
Мир-работы
Х
Хобби-и-рукоделие
И
Искусство-и-развлечения
В
Взаимоотношения
З
Здоровье
К
Кулинария-и-гостеприимство
Ф
Финансы-и-бизнес
П
Питомцы-и-животные
О
Образование
О
Образование-и-коммуникации

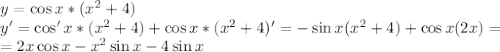
Найдите производную функции y=cosx(xквадрат+4)

👇
Ответ:
VikaKemer
VikaKemer
13.12.2021
y = \cos x * (x^2+4)\\y'=\cos'x*(x^2+4)+\cos x * (x^2+4)'=-\sin x (x^2+4) + \cos x (2x)=\\=2x\cos x - x^2\sin x - 4\sin x
4,6(60 оценок)
Открыть все ответы
Ответ:
наташа608
наташа608
13.12.2021

№1дом 1 2 3 4 5 
цвет жёлтый синий красный зелёный белый 
национальность норвежец датчанин англичанин немец швед 
напиток вода чай молоко кофе пиво 
сигареты «Данхилл» «Мальборо» «Пал Мал» «Ротманс» «Винфилд» 
животное кошка лошадь птицы рыбки собака 

№2 я не знаю, №4 Две кувшинки покроют озеро за месяц минус один день.

№5 на картине изображен сам джентельмен, который заказывал картину, т.есть он заказал портрет самого себя

№6Первое взвешивание: на каждую чашу весов кладём по три монеты. Если весы уравновешены, то для второго взвешивания берутся две из трёх оставшихся монет. Если фальшивая монета на весах, то ясно, на какой она чаше весов. Если же весы уравновешены, то фальшивой является оставшаяся не взвешенная монета. Если при первом взвешивании одна чаша перевешивает другую, то фальшивая монета находится среди монет, вес которых оказывается меньше. Тогда вторым взвешиванием устанавливаем, какая из монет фальшивая.

№7 Это предложение содержит все буквы английского алфавита. 

4,7(80 оценок)
Ответ:
KenDipp
KenDipp
13.12.2021
№1

попробуем разобрать по ходам.

1) 1 2 3 4 5 6

2) 2 3 3 4 5 6

3) 3 4 3 4 5 6

4) 4 5 3 4 5 6

5) 5 6 3 4 5 6

6) 6 6 4 4 5 6

5) 6 6 5 5 5 6

6) 6 6 6 6 5 6

ответ: нет.

№ 2

Главная проблема в том что точный процент дать невозможно. Но зато можно дать максимум и минимум.
Максимум будет 60%
а вот минимум будет 40%, т.к. 20% ходили только на экскурсию.

ответ: от 40% до 60%.

№3

Это число должно делится без остатка на 4,3,2.

ответ: 12

№5

число 11…11 с любым кол-вом чисел не делится на 99999999, а вот
0/999999999=0
т.е. остатка нет.
ответ: 0
4,5(14 оценок)
Это интересно:
Новые ответы от MOGZ: Математика
logo
Вход Регистрация
Что ты хочешь узнать?
Спроси Mozg
Открыть лучший ответ