М
Молодежь
К
Компьютеры-и-электроника
Д
Дом-и-сад
С
Стиль-и-уход-за-собой
П
Праздники-и-традиции
Т
Транспорт
П
Путешествия
С
Семейная-жизнь
Ф
Философия-и-религия
Б
Без категории
М
Мир-работы
Х
Хобби-и-рукоделие
И
Искусство-и-развлечения
В
Взаимоотношения
З
Здоровье
К
Кулинария-и-гостеприимство
Ф
Финансы-и-бизнес
П
Питомцы-и-животные
О
Образование
О
Образование-и-коммуникации
dina15777
dina15777
19.11.2022 20:48 •  Математика

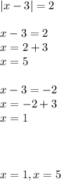
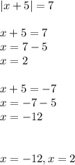
Как решить уравнения: |х-3|=2; и |х+5|=7;

👇
Ответ:
chucklplplplpl
chucklplplplpl
19.11.2022
|x-3|=2 \\ \\x-3=2\\x=2+3\\x=5\\ \\ x-3=-2\\x=-2+3\\x=1\\\\ \\ \\ x=1,x=5

|x+5|=7\\\\x+5=7\\x=7-5\\x=2\\\\x+5=-7\\x=-7-5\\x=-12\\\\\\x=-12,x=2
4,7(22 оценок)
Открыть все ответы
Ответ:
Rf123123
Rf123123
19.11.2022
Беспощадные к врагам, казаки в своей среде были всегда щедры и гостеприимны. Самым дорогим и желанным гостем считался незнакомый из дальних мест, нуждающийся в приюте, отдыхе и заботе. Неважен возраст гостя, ему отводилась лучшее место за трапезой и на отдыхе. Считалось неприличным в течение 3-х суток спрашивать гостя, откуда он и какова цель его прибытия. Даже старик уступал место, хотя гость был моложе его.В любом хуторе, станице, поселке у него обязательно был дальний или близкий родственник, кум, сват, деверь или просто сослуживец, а то и просто житель, который встретит его, как гостя, накормит и его, и коня; на постоялых дворах казаки останавливались в редких случаях при посещении ярмарок в городах. 
4,6(33 оценок)
Ответ:
yellowmellow
yellowmellow
19.11.2022
7 = 6 3/3. Знаменатель 3.
4 = 3 8/8. Знаменатель 8.
На будущее: что бы представить натуральное число (например:4) в виде смешанного нужно:
1.В виде целого числа представить, то же натуральное число, уменьшанное на 1( например: 4-1=3) .
2. А дробную часть записать так: то число какое дожно быть в знаменателе, мы ставим и в числитель и в знаменатель( например 8/8), так как любая такая дробь, где числитель и знаменатель равен будет равнятся 1.
Например: 4-1=3. Это целое число. И 8/8. Это дробная часть ,равняющаяся 1. И получается: 3+1=4.
4,5(43 оценок)
Новые ответы от MOGZ: Математика
logo
Вход Регистрация
Что ты хочешь узнать?
Спроси Mozg
Открыть лучший ответ