М
Молодежь
К
Компьютеры-и-электроника
Д
Дом-и-сад
С
Стиль-и-уход-за-собой
П
Праздники-и-традиции
Т
Транспорт
П
Путешествия
С
Семейная-жизнь
Ф
Философия-и-религия
Б
Без категории
М
Мир-работы
Х
Хобби-и-рукоделие
И
Искусство-и-развлечения
В
Взаимоотношения
З
Здоровье
К
Кулинария-и-гостеприимство
Ф
Финансы-и-бизнес
П
Питомцы-и-животные
О
Образование
О
Образование-и-коммуникации
feyaandkisa
feyaandkisa
10.08.2020 05:20 •  Математика

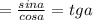
Доказать тождество sina+tga/1+cosa= tga

👇
Ответ:
CatyX8
CatyX8
10.08.2020
\frac{sina+tga}{1+cosa} =tga \\ \\ \frac{ sina+tga}{1+cosa} = \frac{sina+ \frac{sina}{cosa} }{tga*ctga+cosa} = \frac{ \frac{sina*cosa+sina}{cosa} }{ \frac{sina*cosa}{cosa*sina}+cosa } = \frac{ \frac{sinacosa+sina}{cosa} }{ \frac{sina*cosa+cos ^{2} a*sina}{cosa*sina} } = \\ \\ = \frac{sina*cosa+sina}{cosa} * \frac{cosa*sina}{sina*cosa+cos ^{2} a*sina} = \\ = \frac{(sinacosa+sina)*(cosa*sina)}{cosa(sina*cosa+cos^{2} a*sina)} = \frac{sina*(cosa+1)*(cosa*sina)}{cosa*cosa*sina*(1+cosa)} = = \frac{sina}{cosa} =tga
4,7(9 оценок)
Открыть все ответы
Ответ:
loooollik
loooollik
10.08.2020

хотите проникнуться зимним спокойствием и умиротворением? - простое с однородными членами

разглядывайте морозные узоры на оконном стекле, вглядывайтесь в их красоту! -  простое с однородными членами

к сожалению, во многих современных квартирах, оборудованных модными стеклопакетами, невозможно наслаждаться фантастическими узорами, которые рисует мороз. - сложноподчиненное, две основы:

1. невозможно наслаждаться

2. рисует мороз

и все же вглядитесь! -  простое 

вот крепкий утренний морозец инеем обметал молодой ледок на речке, а кое -где, даже разбросал гирлянды цветов.  простое с однородными членами

крупные лепестки выведены рельефно и ажурно.  простое с однородными членами

4,6(48 оценок)
Ответ:
даньго
даньго
10.08.2020

хотите проникнуться зимним спокойствием и умиротворением? - простое с однородными членами

разглядывайте морозные узоры на оконном стекле, вглядывайтесь в их красоту! -  простое с однородными членами

к сожалению, во многих современных квартирах, оборудованных модными стеклопакетами, невозможно наслаждаться фантастическими узорами, которые рисует мороз. - сложноподчиненное, две основы:

1. невозможно наслаждаться

2. рисует мороз

и все же вглядитесь! -  простое 

вот крепкий утренний морозец инеем обметал молодой ледок на речке, а кое -где, даже разбросал гирлянды цветов.  простое с однородными членами

крупные лепестки выведены рельефно и ажурно.  простое с однородными членами

4,7(83 оценок)
Новые ответы от MOGZ: Математика
logo
Вход Регистрация
Что ты хочешь узнать?
Спроси Mozg
Открыть лучший ответ