М
Молодежь
К
Компьютеры-и-электроника
Д
Дом-и-сад
С
Стиль-и-уход-за-собой
П
Праздники-и-традиции
Т
Транспорт
П
Путешествия
С
Семейная-жизнь
Ф
Философия-и-религия
Б
Без категории
М
Мир-работы
Х
Хобби-и-рукоделие
И
Искусство-и-развлечения
В
Взаимоотношения
З
Здоровье
К
Кулинария-и-гостеприимство
Ф
Финансы-и-бизнес
П
Питомцы-и-животные
О
Образование
О
Образование-и-коммуникации
PoL811
PoL811
21.02.2021 06:49 •  Математика

:) , : ) напишите уравнение касательной к графику функции f в точке с абсциссой хо, если f(x)=0,5e^-x, x=-1

👇
Ответ:
aleksandragapov
aleksandragapov
21.02.2021
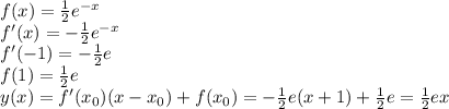
f(x)=\frac{1}{2}e^{-x} \\
f'(x)=-\frac{1}{2}e^{-x} \\
f'(-1)=-\frac{1}{2}e \\
f(1)=\frac{1}{2}e \\
y(x)=f'(x_0)(x-x_0)+f(x_0)=-\frac{1}{2}e(x+1)+\frac{1}{2}e=\frac{1}{2}ex
4,5(29 оценок)
Открыть все ответы
Ответ:
anshul
anshul
21.02.2021
ИХИ НЕКРАСОВА
20 ноября 1861
Ах! что изнанье, заточенье!
Баюшки-баю
В дороге
Ванька
Вино
Возвращение
Вор
Вчерашний день, часу в шестом
Гробок
Да, наша жизнь текла мятежно
Дедушка мазай и зайцы
Деревенские новости
Еду ли ночью по улице темной
Если, мучимый страстью мятежной
Железная дорога
За городом
Забытая деревня
Застенчивость
Зеленый шум
Зине
Знахарка
Извозчик
Как празднуют трусу
Калистрат
Княгиня
Когда из мрака заблужденья
Колыбельная песня
Крестьянские дети
Кумушки
Мать
Маша
Мое разочарование
Мороз, красный нос
Мороз, красный нос 2
Муза
Мы с тобой бестолковые люди
Мысль
На волге
На псарне
На смерть шевченко
Несжатая полоса
Новости
Новый год
Нравственный человек
О Муза! я у двери гроба!
Огородник
Орина, мать солдатская
Отрадно видеть, что находит
Отрывок
Перед дождем
Песня еремушке
Подражание Лермонтову
Поражена потерей невозвратной
Поэт и гражданин
Проводы
Прости
Псовая охота
Пускай мечтатели осмеяны давно
Пьяница
Размышления у парадного подъезда
Родина
Рыцарь на час
Свадьба
Смерть крестьянина 1
Современная ода
Стихи мои! Свидетели живые
Стишки! стишки! давно ль и я был гений?
Так это шутка?
Так, служба! сам ты в той войне
Тройка
Ты всегда хороша несравненно
Чиновник
Я за то глубоко презираю себя
Я не люблю иронии твоей
4,7(26 оценок)
Ответ:
ирбиз
ирбиз
21.02.2021
ИХИ НЕКРАСОВА
20 ноября 1861
Ах! что изнанье, заточенье!
Баюшки-баю
В дороге
Ванька
Вино
Возвращение
Вор
Вчерашний день, часу в шестом
Гробок
Да, наша жизнь текла мятежно
Дедушка мазай и зайцы
Деревенские новости
Еду ли ночью по улице темной
Если, мучимый страстью мятежной
Железная дорога
За городом
Забытая деревня
Застенчивость
Зеленый шум
Зине
Знахарка
Извозчик
Как празднуют трусу
Калистрат
Княгиня
Когда из мрака заблужденья
Колыбельная песня
Крестьянские дети
Кумушки
Мать
Маша
Мое разочарование
Мороз, красный нос
Мороз, красный нос 2
Муза
Мы с тобой бестолковые люди
Мысль
На волге
На псарне
На смерть шевченко
Несжатая полоса
Новости
Новый год
Нравственный человек
О Муза! я у двери гроба!
Огородник
Орина, мать солдатская
Отрадно видеть, что находит
Отрывок
Перед дождем
Песня еремушке
Подражание Лермонтову
Поражена потерей невозвратной
Поэт и гражданин
Проводы
Прости
Псовая охота
Пускай мечтатели осмеяны давно
Пьяница
Размышления у парадного подъезда
Родина
Рыцарь на час
Свадьба
Смерть крестьянина 1
Современная ода
Стихи мои! Свидетели живые
Стишки! стишки! давно ль и я был гений?
Так это шутка?
Так, служба! сам ты в той войне
Тройка
Ты всегда хороша несравненно
Чиновник
Я за то глубоко презираю себя
Я не люблю иронии твоей
4,7(42 оценок)
Новые ответы от MOGZ: Математика
logo
Вход Регистрация
Что ты хочешь узнать?
Спроси Mozg
Открыть лучший ответ