М
Молодежь
К
Компьютеры-и-электроника
Д
Дом-и-сад
С
Стиль-и-уход-за-собой
П
Праздники-и-традиции
Т
Транспорт
П
Путешествия
С
Семейная-жизнь
Ф
Философия-и-религия
Б
Без категории
М
Мир-работы
Х
Хобби-и-рукоделие
И
Искусство-и-развлечения
В
Взаимоотношения
З
Здоровье
К
Кулинария-и-гостеприимство
Ф
Финансы-и-бизнес
П
Питомцы-и-животные
О
Образование
О
Образование-и-коммуникации
ФелаБульф12
ФелаБульф12
29.05.2023 05:20 •  Математика

1)определить четность функции у=cosx деленная на sinx+tgx 2) 1-sin^2a деленная на sina*cosa*tga

👇
Ответ:
vasiljev255
vasiljev255
29.05.2023
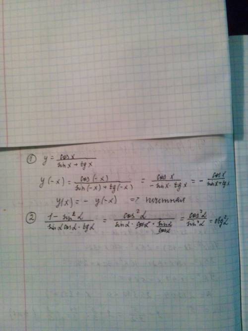
1)
y(x)=\frac{\cos x}{\sin x+ \tan x} \\
y(-x)=\frac{\cos (-x)}{\sin (-x)+\tan (-x)}=-\frac{\cos x}{\sin x+ \tan x}=-y(x)
Значит, функция является нечетной.

2)
\frac{1-\sin^2 a}{\sin a \cos a\tan a}=\frac{\cos^2 a}{\sin^2 a}=ctg^2 a
4,7(27 оценок)
Ответ:
elenamatveeva3
elenamatveeva3
29.05.2023
Смотреть во вложении

1)определить четность функции у=cosx деленная на sinx+tgx 2) 1-sin^2a деленная на sina*cosa*tga
4,7(57 оценок)
Открыть все ответы
Ответ:
tonuo84
tonuo84
29.05.2023
На думку В. О. Сухомлинського, в житті кожної людини повинні бути Краса, Натхнення, Радість і Таємниця. Вони виховують і вивищують нашу душу, вони роблять нас Людьми, дають нам можливість творити і мріяти, сили прагнути до мети і боротися. У них ми черпаємо заспокоєння і надію, вони дають нам відчуття впевненості у нашому мінливому світі. Ця розповідь показує, що Краса, Натхнення і Радість – навколо нас, потрібно тільки придивитися, помітити їх і зрозуміти, що все не так погано, якщо ми можемо це бачити і відчувати. І Таємниця не тільки в тому, що Краса вічна, а ще і в тому, що вона – у всьому, що нас оточує, від величезного неба до маленького
4,7(13 оценок)
Ответ:
Артём2006706
Артём2006706
29.05.2023
Предыдущее названиеГодТекущее название Португальская Юго-Западная Африка 1975 Республика Ангола Дагомея 1975 Республика Бенин Протекторат Бечуаналенд 1966 Республика Ботсвана Республика Верхняя Вольта 1984 Республика Буркина Фасо Убанги-Шари 1960 Центральноафриканская Республика Республика Заир 1997 Демократическая Республика Конго Среднее Конго 1960 Республика Конго Берег Слоновой Кости 1985 Республика Кот-д’Ивуар* Французская территория афаров и исса 1977 Республика Джибути Испанская Гвинея 1968 Республика Экваториальная Гвинея Абиссиния 1941 Федеральная Демократическая Республика Эфиопия Золотой Берег 1957 Республика Гана часть Французской Западной Африки 1958 Республика Гвинея Португальская Гвинея 1974 Республика Гвинея-Бисау Протекторат Басутоленд 1966 Королевство Лесото Протекторат Ньясаленд 1964 Республика Малави Французский Судан 1960 Республика Мали Германская Юго-Западная Африка 1990 Республика Намибия Германская Восточная Африка / Руанда-Урунди 1962 Республика Руанда / Республика Бурунди Британский Сомалиленд / Итальянский Сомалиленд 1960 Республика Сомали Занзибар / Танганьика 1964 Объединённая республика Танзания Буганда 1962 Республика Уганда Северная Родезия 1964 Республика Замбия Южная Родезия 1980 Республика Зимбабве
4,8(20 оценок)
Это интересно:
Новые ответы от MOGZ: Математика
logo
Вход Регистрация
Что ты хочешь узнать?
Спроси Mozg
Открыть лучший ответ