М
Молодежь
К
Компьютеры-и-электроника
Д
Дом-и-сад
С
Стиль-и-уход-за-собой
П
Праздники-и-традиции
Т
Транспорт
П
Путешествия
С
Семейная-жизнь
Ф
Философия-и-религия
Б
Без категории
М
Мир-работы
Х
Хобби-и-рукоделие
И
Искусство-и-развлечения
В
Взаимоотношения
З
Здоровье
К
Кулинария-и-гостеприимство
Ф
Финансы-и-бизнес
П
Питомцы-и-животные
О
Образование
О
Образование-и-коммуникации
Нияз170406
Нияз170406
19.07.2021 06:18 •  Математика

Решите систему уравнений: 2x+y=4; x-2y=7

👇
Ответ:
dimanchik0108
dimanchik0108
19.07.2021
     2х +у = 4          2х + у  =4
  {                     - { 
2   х - 2у = 7          2х -4у = 14       5у =-10    у = - 2 Подставляем в первое уравнение , получим : 2х +(-2) = 4        2х = 4 + 2       х = 3
4,4(54 оценок)
Ответ:
jadeholden451
jadeholden451
19.07.2021
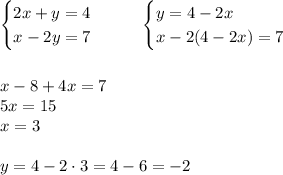
\begin{cases}2x+y=4\\ x-2y=7\end{cases}~~~~~\begin{cases}y=4-2x\\ x-2(4-2x)=7\end{cases} \\ \\ \\ x-8+4x=7 \\ 5x=15 \\ x=3 \\ \\ y=4-2\cdot3=4-6=-2

ответ: (3;-2)
4,5(23 оценок)
Открыть все ответы
Ответ:
nastyadolbakp0837c
nastyadolbakp0837c
19.07.2021
А (кг)- нужно 1-му фермеру, в(кг) - нужно 2-му фермеру, с (кг) - нужно 3-му фермеру. Составляет систему уравнений: а+в+с=1957 (кг), Т.к. столько закупили всего три фермера.Второму надо в 5 раз меньше,чем первому: в=а/5. Третьему надо в 6 раз меньше,чем второму: с=в/6. Итак: а+в+с=1957, в=а/5, с=в/6.Выражаем из двух последних уравнений С и подставляет все в первое уравнение. С=в/6=> в=6*с. в=а/5=>а=5в=5*(6*с).Подставляем в первое уравнение: 5*6с+6с+с=1957, 37с=1957, с=52. 33/37. в=6*52.33/37.а=5*(6*52.33/37).Осталось посчитать эти дроби.
4,4(51 оценок)
Ответ:
OToMCTuTEL
OToMCTuTEL
19.07.2021
А (кг)- нужно 1-му фермеру, в(кг) - нужно 2-му фермеру, с (кг) - нужно 3-му фермеру. Составляет систему уравнений: а+в+с=1957 (кг), Т.к. столько закупили всего три фермера.Второму надо в 5 раз меньше,чем первому: в=а/5. Третьему надо в 6 раз меньше,чем второму: с=в/6. Итак: а+в+с=1957, в=а/5, с=в/6.Выражаем из двух последних уравнений С и подставляет все в первое уравнение. С=в/6=> в=6*с. в=а/5=>а=5в=5*(6*с).Подставляем в первое уравнение: 5*6с+6с+с=1957, 37с=1957, с=52. 33/37. в=6*52.33/37.а=5*(6*52.33/37).Осталось посчитать эти дроби.
4,6(25 оценок)
Новые ответы от MOGZ: Математика
logo
Вход Регистрация
Что ты хочешь узнать?
Спроси Mozg
Открыть лучший ответ