км - в первый день
км - во второй день
км - в третий день.
Задача на РАБОТУ: А =p*t , как и расстояние и скорость.
р - производительность труда (скорость работы.
р1 = А/t1 = A/20 = 1/20*A (бас/час) - производительность первой трубы.
p2 = A/t2 = A/25 = 1/25*A - второй трубы.
При совместной работе производительности складываются (как при встречном движении).
Рс = (1/20 + 1/25)*А = 9/100*А - совместная производительность.
T = A/Pc = A : (9/100)*A = 100 : 9 = 11 1/9 час = 11 час 7 мин - время работы - ОТВЕТ
Эту задачу можно сравнить с другой - на расстояние.
Первый поезд проходит какое-то расстояние за 20 часов, а второй за 25 час. Когда встретятся при встречном движении?
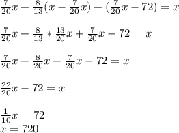
В 1 день автомобиль пути, то есть 7x/20 км.
Осталось x - 7x/20 = 13x/20 км.
Во 2 день он оставшегося пути, то есть
8/13*13x/20 = 8x/20 км.
Осталось 13x/20 - 8x/20 = 5x/20 км. И это на 72 км меньше, чем в 1 день.
7x/20 - 5x/20 = 2x/20 = x/10 = 72
x = 720 км